0 引言
在“碳达峰、碳中和”背景下,推动中国能源行业低碳化转型成为了中国摆脱能源危机和环境污染的重要手段。电、气、热等多种能源耦合形成的园区综合能源系统具有源网荷储一体化、多能互补、能源梯级利用等特点[1-2],打破了不同能源之间的壁垒,有助于多种能源的高效利用和新能源的就地消纳,是推动城市能源变革发展和节能减排的重要载体。此外,氢能作为一种清洁无碳、高能量密度的二次能源,也被广泛应用于综合能源系统中,可以有效降低系统碳排放。同时,随着社会对互联网服务、数据计算的需求激增,数据中心作为处理信息负载的关键基础设施,其数量和规模也在迅速增加[3]。本文将数据中心作为一种在园区综合能源系统中的特殊的用能设备[4],为保证供电可靠性和缓解高能耗带来的碳污染问题,对园区内的数据中心、新能源、储能设备以及多能转化设备进行联合调控,有助于提高系统运行的经济性与低碳性,促进节能减排目标的实现。
目前已有较多文献研究园区综合能源的低碳经济调度问题。文献[5]针对电-热-气耦合综合能源系统,考虑了设备输入功率变化对运行效率的影响,建立了基于设备变工况特性模型的系统低碳经济调度模型。文献[6]提出了一种考虑多园区能源共享的分布式低碳调度方法,有助于减少碳排放,促进灵活资源的高效利用。文献[7-9]将阶梯式碳交易引入园区优化调度中,通过碳市场引导和约束系统的碳排放量,相比于传统型碳交易,阶梯式碳交易机制对碳排放量的控制更为严格。文献[10-12]考虑了园区用户的需求响应策略,在一定程度上提高了园区运行的经济性和低碳性。除了传统的电-热-气耦合系统以外,氢能作为低碳清洁的二次能源,在综合能源系统的低碳经济调度中可以发挥巨大作用。文献[13]考虑氢能精细化利用,扩展氢能利用场景,仿真结果表明设备的精细化建模和掺氢运行有助于减少综合能源系统的碳排放。文献[14]构建了电-氢一体化的微网低碳运行框架,考虑了绿电制氢、氢燃料电池发电的运行特性。文献[15-16]针对电-热-氢耦合的园区系统分别提出了保护用户隐私的分布式求解方法和考虑不确定性的分布鲁棒求解方法。然而,上述文献建立的优化模型大多数将碳排放量通过碳惩罚系数或碳交易机制转化为经济成本,以经济成本为单目标函数进行优化调度,较少考虑系统运行成本与系统碳排放量的多目标优化。此外,多目标问题的求解常见方法包括矢量化法和标量法,矢量化法是指遗传算法和粒子群算法这类多目标智能算法,采用这类方法求解优化问题效率较低且无法保证Pareto最优解集的收敛性[17]。标量化法将多目标问题转化为一系列参数化的单目标问题求解,效率较高,常见的有加权和法、ε-约束法,但是加权和法和ε-约束法所得的Pareto最优解集分布一般不够均匀[18]。
在数据中心运行方面,文献[19]构建了综合能源系统和互联网数据中心协同调度的精细化模型,文献[20-22]挖掘数据中心处理计算负荷的灵活性,对数据负荷的时-空双维度迁移特性进行了详细建模,可有效促进可再生能源消纳和降低碳排放量。由于数据中心的数据负载处理、电力消耗和热量流动3个环节之间具有紧密联系,需要刻画数据中心内部的产热和热量流动过程。文献[23]基于热量平衡方程建立了完整的数据中心的热环境特性以准确描述其运行特性。实际上,数据中心的余热具有较大的回收利用潜力,这些热源的热量排放在环境中会造成能源浪费与环境污染[24],所以对该低品位热能的回收与利用具有重要意义。
基于上述分析,本文提出一种考虑数据中心余热回收的电-热-氢综合能源系统的多目标优化调度策略。本文首先分析数据中心的工作特性,建立数据中心的功耗模型、热力模型以及余热回收模型。考虑系统运行的经济性与低碳性,基于电-热-氢多能耦合特性及系统内能量转化设备运行约束,建立最小化总运行成本与碳排量的多目标优化调度模型。采用规划法向约束生成法(normalized normal constraint,NNC)对所提多目标优化模型进行高效求解,获取均匀的Pareto最优解集,再从中选择最佳折衷解作为系统调度方案。最后,以某数据中心综合能源系统作为测试算例,验证了所提模型和方法的正确性和有效性。
1 园区综合能源系统模型
1.1 园区综合能源系统基本结构
本文的研究对象为电-热-氢耦合的数据中心综合能源系统,将系统内的算力、电力和热力能源资源进行统一联合调度,可以充分挖掘数据中心内外部能源系统的灵活性,具备节能、减碳和增效价值,其基本结构及内部能量流动关系如图1所示。其中,外部能源供应形式包括外购电、天然气、氢气;系统内部的发电设备包括风机和光伏,能源转化设备包括热电联产机组、燃气锅炉、氢燃料电池以及热泵装置,能源储存设备包括电储能和热储能;系统负荷侧包括常规电负荷、常规热负荷以及数据中心负荷。

图1 电-热-氢耦合数据中心综合能源系统基本结构
Fig. 1 Basic structure of integrated energy system with electricthermal-hydrogen coupling
在系统实际运行过程中,外部电网购电与新能源发电直接产生电能,热电联产机组和燃气锅炉通过消耗天然气产生热能与部分电能,氢燃料电池通过消耗氢气产生电能与部分热能,蓄电设备与蓄热设备实现能量的灵活存储与释放,热泵可以对数据中心产生的废热进行回收再利用,通过多能互补与多种设备的共同配合,实现系统的低碳经济运行。
1.2 数据中心运行模型
1.2.1 数据中心服务器功耗模型
数据中心的服务器功耗取决于服务器开机数量以及需要处理的数据负载量。本文假设数据中心内部所有服务器型号相同,单台服务器在未处理数据任务时保持静默功率PSer,i,在需要处理数据任务时将消耗峰值功率PSer,p。数据中心的功耗模型可表示为:

式 (1) 为数据中心内服务器功耗计算式,式(2)和(3) 表示服务器的平均利用率以及其上下限约束,式 (4) 表示开机服务器数量约束。式中:
表示t时刻处于开机状态的服务器数量;
为服务器的平均利用率;µd为单台服务器的服务率;λt为t时刻数据中心需要处理的数据任务量;ϕmax为单台服务器CPU利用率上限;NSer为数据中心内服务器的总数量。
数据处理延时是评估数据中心服务质量的关键因素,其通常由2部分组成,包括传输延时与数据排队延时。一般情况下,传输延时反映数据负载的分配过程,可以视为常数,本文主要关注数据负载的排队延时。假设各时段的数据处理任务将均匀分配给所有开机的服务器,根据M/M/1排队论,数据负荷的平均排队延时约束如下。
式中:
为数据负载的排队延时;D表示排队延时的最大容忍时间。为了将式 (5) 加入优化模型中,可以将其改写为:
1.2.2 数据中心热力模型
数据中心服务器在工作过程中会产生热量并扩散到周围环境中,其热力学过程反映了室内外温度、服务器产热以及冷却功率间的动态平衡。为准确描述数据中心热环境特性,建立数据中心的热力学过程数学模型如下。

式 (7) 为数据中心产热计算公式,式 (8) 为离散后的数据中心动态热平衡方程,式 (9) 和 (10) 分别表示室内温度约束和温度变化率约束。式中:
为t时刻服务器产生的热功率;ηDC,h为数据中心的产热率;RDC为数据中心的传热系数;ADC为数据中心的散热面积;VDC为数据中心的体积;
分别为t时刻机房室内、室外温度;ρa和Ca分别为空气密度以及空气比热容;
为t时刻数据中心冷却系统的制冷功率;Ti,max和Ti,min分别为机房室内温度的上、下限;∆Tmax为室内温度变化率上限。
1.2.3 数据中心余热回收模型
数据中心冷却系统吸收的余热为低品位热能,作为热泵设备的输入,通过热泵的压缩机做功,将其提高温度后输出供给系统内的热负荷。热泵的运行约束表达如下[25]。

式中:IHP为热泵容量;αHP为热泵能量转化系数;
为t时刻热泵消耗的电功率;
为t时刻回收利用的热功率,对应于热泵设备的输出;
对应于热泵设备的输入。
2 综合能源系统多目标优化运行模型
2.1 目标函数
数据中心综合能源系统的优化运行是指在满足各类负荷需求和系统设备相关约束的情况下,优化协调各能量间的调度和转化,使设定的目标达到最优[26-28]。本文同时考虑经济性成本与碳排放量2个目标,促进数据中心综合能源系统的低碳经济运行。
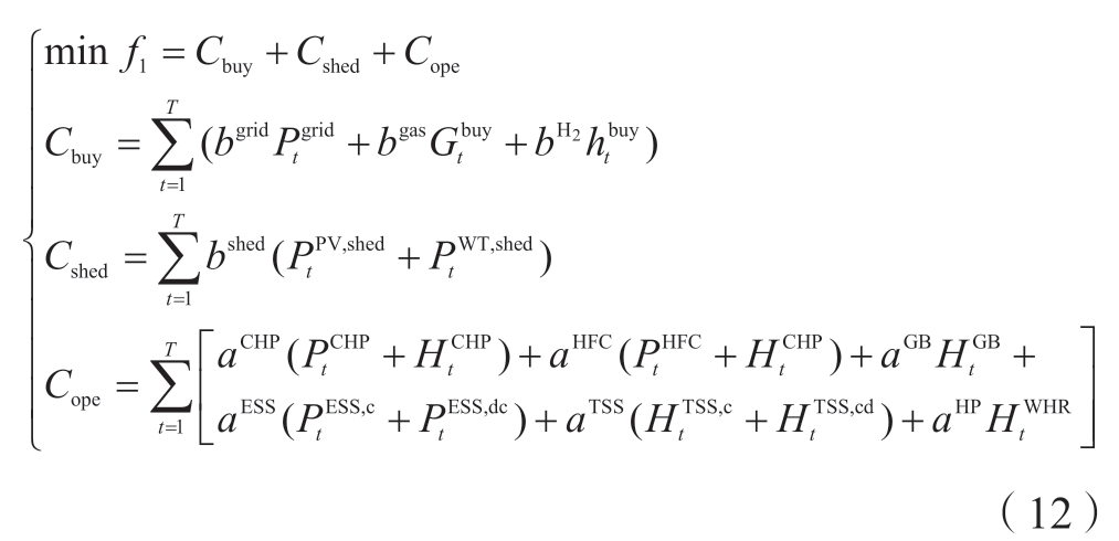
第1个目标是最小化系统的运行成本,包括购能成本、弃风弃光成本以及设备运行成本,如式 (12)所示。

式中:bgrid、bgas、bH2分别为电、天然气、氢气单价;
分别为t时刻的购电、天然气、氢气量;bshed为弃风、弃光单位惩罚成本;
分别为t时刻的弃光、弃风量;aCHP、aHFC、aGB、aESS、aHSS、aHP分别表示热电联产机组、氢燃料电池、燃气锅炉、电储能、热储能以及热泵装置的单位运行成本。
第2个目标是最小化系统运行产生的碳排放量,包括购电与购气的等效碳排放,如式(13)所示。

式中:
分别为购电、购气的等效单位碳排放量;
分别为t时刻热电联产机组和燃气锅炉的输入天然气量。
2.2 约束条件
2.2.1 设备运行约束
1) 分布式电源运行约束。

式中:
分别为t时刻光伏、风机的最大有功功率;
分别为t时刻光伏、风机的实际出力。
2)热电联产机组运行约束。

式中:ICHP为热电联产机组容量;
分别为t时刻热电联产机组的输出电功率、热功率;ηCHP,e、ηCHP,h分别为热电联产机组的发电效率、产热效率;Hgas为天然气热值,本文取9.7 kW/m3。
3)燃气锅炉运行约束。

式中:IGB为燃气锅炉容量;
为t时刻燃气锅炉的输出热功率;ηGB为燃气锅炉能量转化效率。
4)燃料电池运行约束。

式中:IHFC为氢燃料电池容量;
分别为t时刻氢燃料电池的输出电功率、热功率;ηHFC,e 、ηHFC,h分别为燃料电池的发电效率、产热效率;HH2为氢气热值,本文取23.8 kW/kg。
5) 电储能设备运行约束。

式中:
为电储能在t时刻的电量;
分别为t时刻电储能的充、放电功率;
分别代表t时刻电储能是否进行充、放电;ηESS,c、ηESS,dc分别电储能的充、放电效率;EESS为电储能的电量上限。
6)蓄热设备运行约束。

蓄热设备运行约束见式 (19),与电储能设备运行约束 (18) 类似。
2.2.2 园区综合能源系统功率平衡约束

式 (20)—(21) 分别表示系统的电功率平衡与热功率平衡方程。其中,
分别表示t时刻系统的常规电负荷与热负荷需求。
3 多目标优化模型求解方法
基于前文所述,本文建立的数据中心综合能源系统多目标优化运行模型可表达为:

为高效处理上述多目标优化问题,并保证Pareto前沿的收敛性及分布性,本文采用NNC法求解式(22) 所示的多目标问题。NNC法通过在原模型中添加新的约束条件,将多目标问题转化为一系列单目标问题进行求解,每个单目标问题的最优解即Pareto最优解集中的一个解。针对式 (22),NNC法的具体步骤如下。
1) 以运行成本f1为目标函数求解单目标优化问题,得到最优解
以及最优目标函数
,将
带入目标函数f2得到碳排放量为
,由此获得Pareto前沿的一个极端点
。
2) 以碳排放量为目标函数求解单目标问题,得到最优解
以及最优目标函数
,将
带入目标函数f1得到运行成本为
,由此获得Pareto前沿的另一个极端点
。
3) 基于2个极端点,可进一步得到乌托邦点
以及最劣点
。为避免目标函数量纲和数量级差异的影响,对目标函数进行规格化处理。

规格化后的乌托邦点和最劣点分别为O=(0,0)和W =(1,1),极端点为P1 =(0,1)和P2 =(1,0),极端点连线为乌托邦线。
4) 将乌托邦线进行p等分,得到( p+1) 个等距离的分割点Ai,其坐标可以表示如下。
在分割点Ai处做乌托邦线的垂直线
与Pareto前沿交于点Bi。
5) 定义
为P1指向P2的向量,
为原点指向分割点Ai的向量,f→为原点指向
的向量。结合式(22)中的约束条件,添加约束式
,以f2为目标函数,构造式 (25) 所示的单目标优化问题,求解式(25)可以得到分割点Ai所对应的Pareto前沿上的点Bi。

6) 将每个分割点Ai分别代入式 (25) 求解,可以得到原多目标问题的均匀Pareto前沿。然后采用如下指标选取多目标问题的折衷解。
式中:d+、d-分别表示某个解到乌托邦点和最劣点的归一化距离。R越小代表该解的综合最优程度较高,故选择R最小的解作为多目标问题的折衷解。
4 算例分析
4.1 基础数据
本文选取某数据中心综合能源系统为对象进行仿真分析,调度周期为24 h,时间间隔为1 h。综合能源系统的具体结构如图1所示,系统内包含风机、光伏、热电联产机组、燃料电池、电储能、热储能以及数据中心和热泵装置。园区用能负荷曲线以及数据中心的数据负荷曲线见图2[23,29],分时用能价格见表1[4],园区各设备运行参数见表2,数据中心参数见表3[23,25]。设上级电网购电、天然气的碳排放强度分别为0.57 kg/kWh和0.22 kg/kWh。NNC算法的p取20,算例仿真基于Matlab的Yalmip工具箱,采用Gurobi求解器求解本文的混合整数线性规划模型。
表1 分时购电、购气、购氢价格
Table 1 Time-of-use prices for electricity, gas, and hydrogen

表2 设备运行参数
Table 2 Operating parameters of equipment

续表

表3 数据中心参数
Table 3 Parameters of data center


图2 园区综合能源系统用能负荷与数据负载曲线
Fig. 2 Power load, heat load and data load curves of the integrated energy system
4.2 仿真结果分析
4.2.1 优化运行结果分析
图3和图4分别展示了园区综合能源系统的供电调度结果与供热调度结果。图3中的净负荷包括常规电负荷与数据中心负荷,风电和光伏的出力具有时间互补性,在调度周期的各时刻内,两者最大出力总和均小于净负荷,所以不会出现弃风、弃光情况。储能设备在4:00—9:00时段内充电,这是因为在该时段新能源出力较大且负荷需求较少,储存的电能将在负荷高峰且新能源出力低谷时段(17:00—21:00)放出,减少了在电价峰时阶段的购电量,有利于提高系统运行的经济性。热电联产机组和燃料电池均可以提供电能与热能,两者差异主要体现在运行成本与碳排放量上,由于目标函数同时考虑了最小化经济成本与碳排放量,2种设备将共同承担系统电负荷、热负荷的供应,以获得综合最优程度更大的运行调度方案。结合图2与图4可以看出,热泵余热回收功率与数据中心处理的数据负载量的变化趋势相同,在11:00—21:00时段,数据负载量处于较高水平,数据中心回收的余热可以平均供给超过50%的热负荷,大大提高了园区的能量利用效率。

图3 园区综合能源系统供电调度结果
Fig. 3 Power supply scheduling result of the integrated energy system

图4 园区综合能源系统供热调度结果
Fig. 4 Heat supply scheduling result of the integrated energy system
4.2.2 不同目标函数下优化运行结果对比
为进一步对比分析单目标最优解与多目标折衷解,分别以式(12)、(13)、(22)为目标函数对该园区综合能源系统优化运行模型进行求解,结果如表4所示。图5和6分别展示了以经济成本与碳排放量为目标函数的供电调度曲线。
表4 不同目标函数下优化运行结果对比
Table 4 Comparison of optimized running results under different objective functions


图5 最小化运行成本的供电调度结果
Fig. 5 Power supply scheduling results that minimize operating cost

图6 最小化碳排放量的供电调度结果
Fig. 6 Power supply scheduling results that minimize carbon emission
由结果可以看出,当只考虑最小化运行成本时,电负荷需求主要由新能源出力、电网购电、热电联产机组出力满足。这是因为单位购电、购气成本均小于单位购氢成本,从经济性角度出发,在风光均被完全消纳情况下,系统会尽可能通过低成本的电网购电、热电联产机组出力来满足电负荷需求,但这2种方式的等效碳排放因子较高,会产生较多碳排放。氢燃料电池由于其较高的购能成本和运行成本,在调度时段内不出力。因此,该方案的运行成本最低但是产生的碳排放量最高。当只考虑最小化系统碳排放量时,氢燃料电池在大部分时段处于满发状态,这是因为氢燃料电池发电过程中不产生碳排放,所以系统倾向于更多地使用氢燃料电池提供电能与热能,而热电联产机组与电网购电仅作为辅助手段提供少量功率。该运行方案可以实现系统的低碳运行,但由于购氢成本较高,系统总运行成本相应较高。
相较于上述2个单目标优化解,多目标折衷解是协调运行成本与碳排放量得到的,根据R值可以判断,该折衷解的综合最优程度大于2个单目标优化解,说明该方案可以兼顾园区综合能源系统运行的经济性和低碳性。
4.2.3 数据中心余热回收利用效果分析
为验证数据中心余热回收利用对园区优化运行的效果,将不考虑数据中心余热回收场景(场景1)的优化运行方案与本文模型(场景2)所得的运行方案进行对比,各项目标函数如表5所示。
表5 数据中心余热回收利用对比
Table 5 Comparison of waste heat recovery in data center

由上表可以看出,相对于场景1,当考虑数据中心的余热回收利用时,园区系统的总成本与碳排放量均有所下降,其中碳减排量达到23.93%,说明数据中心的余热回收有利于园区系统的节能减排。在场景1中,热负荷主要依靠外购天然气通过热电联产机组或燃气锅炉产热满足需求,而场景2中数据中心产生的余热可以通过热泵转化为高品位的热能,供给部分热负荷,一方面节省了外部购能成本,同时由于外购天然气减少,等效碳排放量也相应减少。综上,考虑数据中心的余热回收利用可以进一步促进园区综合能源系统的低碳经济运行。
4.2.4 不同多目标优化方法对比
为对比不同的多目标优化方法用于求解所提园区优化运行模型的效果,将本文采用的NNC法与加权和法、ε-约束法进行对比。其中,加权和法将2个目标函数的权重均匀取为0~1之间的21个点;ε-约束法以min f1为主要目标函数,将min f2转化为ε约束,ε值取为0~1之间的21个点。3种方法得到的Pareto前沿分别见图7—9。由图中可以看出,加权和法得到的的Pareto点极不均匀,主要分布在2个极端点附近,可以推断采用该方法无法保证折衷解的质量;相较于加权和法,ε-约束法得到的Pareto点分布更为均匀,但是分布在左半侧和右半侧的Pareto点的密度有一定差异;采用NNC法得到的Pareto点分布均匀程度最高,2个目标测均有较为均匀的Pareto点,基于该Pareto前沿获取的折衷解综合最优程度较高,且该均匀Pareto前沿也方便后续进行分析。

图7 加权和法的Pareto前沿
Fig. 7 Pareto frontier of weighted-sum method

图8 ε-约束法的Pareto前沿
Fig. 8 Pareto frontier of ε-constrained method

图9 NNC法的Pareto前沿
Fig. 9 Pareto frontier of NNC method
5 结论
本文提出了一种计及碳减排与数据中心余热回收的电-热-氢综合能源系统多目标优化调度模型,旨在促进数据中心综合能源系统的低碳经济运行,主要结论如下:
1)与单目标优化相比,所提多目标优化调度结果的综合最优程度大于单目标优化调度结果,说明所提方法可以更好地兼顾综合能源系统运行的经济性和低碳性。
2)数据中心余热回收利用可以显著提高系统的能源利用效率,在降低经济成本与碳排放方面发挥较大作用。
3)采用NNC法求解多目标优化问题,相较于常规求解算法,可以得到均匀分布的Pareto点,确保折衷解的质量。
参考文献
[1] 朱浩昊,朱继忠,李盛林,等. 电-热综合能源系统优化调度综述[J]. 全球能源互联网,2022,5(4):383-397.ZHU Haohao, ZHU Jizhong, LI Shenglin, et al. Review of optimal scheduling of integrated electricity and heat systems[J].Journal of Global Energy Interconnection, 2022, 5(4): 383-397(in Chinese).
[2] 朱继忠,董瀚江,李盛林,等. 基于分布式新能源集群的微能源网优化调度综述[J]. 中国电机工程学报,2024,44(20):7952-7970.ZHU Jizhong, DONG Hanjiang, LI Shenglin, et al. Review of optimal dispatching for the aggregation of micro-energy grids based on distributed new energy[J]. Proceedings of the CSEE,2024, 44(20): 7952-7970(in Chinese).
[3] 丁肇豪,曹雨洁,张素芳,等. 能源互联网背景下数据中心与电力系统协同优化(一):数据中心能耗模型[J]. 中国电机工程学报,2022,42(9):3161-3177.DING Zhaohao, CAO Yujie, ZHANG Sufang, et al.Coordinated operation for data center and power system in the context of energy Internet(Ⅰ): energy demand management model of data center[J]. Proceedings of the CSEE, 2022, 42(9):3161-3177(in Chinese).
[4] 林嘉瑜,韩俊涛,王永真,等. 计及 效率的低碳数据中心算力综合能源系统规划及运行优化[J/OL]. 上海交通大学学报,2024:1-27. (2024-02-22). https://kns.cnki.net/KCMS/detail/detail.aspx?filename=SHJT20240218001&dbname=CJF D&dbcode=CJFQ.LIN Jiayu, HAN Juntao, WANG Yongzhen, et al. Capacity planning and operational optimization for low-carbon data center integrated energy system considering exergy efficiency[J/OL]. Journal of Shanghai Jiaotong University,2024: 1-27. (2024-02-22). https://kns.cnki.net/KCMS/detail/detail.aspx?filename=SHJT20240218001&dbname=CJFD&db code=CJFQ (in Chinese).
[5] 赵军,张敏,常潇,等. 考虑设备变工况特性的多主体综合能源系统低碳经济调度策略[J]. 电力系统及其自动化学报,2024,36(12):110-118.ZHAO Jun, ZHANG Min, CHANG Xiao, et al. Low-carbon economic scheduling strategy for multi-agent integrated energy system considering off-design performance of equipment[J].Proceedings of the CSU-EPSA, 2024, 36(12): 110-118(in Chinese).
[6] LIU C L, WANG C F, YAO W L, et al. Distributed lowcarbon economic dispatching for multiple park-level integrated energy systems based on improved shapley value[J]. IEEE Transactions on Industry Applications, 2024, 60(6): 8088-8102.
[7] 李贵君,赵兴勇,刘昊炀,等. 考虑梯级碳交易机制和电转气两阶段运行的综合能源系统优化[J]. 全球能源互联网,2023,6(3):331-340.LI Guijun, ZHAO Xingyong, LIU Haoyang, et al. Integrated energy system optimization considering cascading carbon trading mechanism and two-stage operation of power-to-gas[J].Journal of Global Energy Interconnection, 2023, 6(3): 331-340(in Chinese).
[8] ZHANG Y X, HAN Y, LIU D Y, et al. Low-carbon economic dispatch of electricity-heat-gas integrated energy systems based on deep reinforcement learning[J]. Journal of Modern Power Systems and Clean Energy, 2023, 11(4): 1827-1841.
[9] 曾艾东,邹宇航,郝思鹏,等. 考虑阶梯式碳交易机制的园区工业用户综合需求响应策略[J]. 高电压技术,2022,48(11):4352-4363.ZENG Aidong, ZOU Yuhang, HAO Sipeng, et al.Comprehensive demand response strategy of industrial users in the park considering the stepped carbon trading mechanism[J].High Voltage Engineering, 2022, 48(11): 4352-4363(in Chinese).
[10] WANG L, HOU C Q, YE B, et al. Optimal operation analysis of integrated community energy system considering the uncertainty of demand response[J]. IEEE Transactions on Power Systems, 2021, 36(4): 3681-3691.
[11] LYU X M, LIU T Q, LIU X, et al. Low-carbon robust economic dispatch of park-level integrated energy system considering price-based demand response and vehicle-togrid[J]. Energy, 2023, 263: 125739.
[12] YANG T, WANG Q C, WANG X D, et al. Low-carbon economic distributed dispatch for district-level integrated energy system considering privacy protection and demand response[J]. Applied Energy, 2025, 383: 125389.
[13] ZHANG J L, LIU Z Y. Low carbon economic scheduling model for a park integrated energy system considering integrated demand response, ladder-type carbon trading and fine utilization of hydrogen[J]. Energy, 2024, 290: 130311.
[14] 谭玲玲,汤伟,楚冬青,等. 考虑电-氢一体化的微电网低碳-经济协同优化调度[J]. 中国电力,2024,57(5):137-148.TAN Lingling, TANG Wei, CHU Dongqing, et al. Lowcarbon-economic collaborative optimal dispatching of microgrid considering electricity-hydrogen integration[J].Electric Power, 2024, 57(5): 137-148(in Chinese).
[15] 孔令国,史立昊,石振宇,等. 基于交替方向乘子法的园区电-氢-热系统低碳优化调度[J]. 电工技术学报,2023,38(11):2932-2944.KONG Lingguo, SHI Lihao, SHI Zhenyu, et al. Low-carbon optimal dispatch of electric-hydrogen-heat system in park based on alternating direction method of multipliers[J].Transactions of China Electrotechnical Society, 2023, 38(11):2932-2944(in Chinese).
[16] MA M M, LONG Z J, LIU X J, et al. Distributionally robust optimization of electric–thermal–hydrogen integrated energy system considering source–load uncertainty[J]. Energy, 2025,316: 134568.
[17] 李志伟,赵书强,李东旭,等. 基于改进ε-约束与采样确定性转化的电力系统日前调度机会约束模型快速求解技术[J]. 中国电机工程学报,2018,38(16):4679-4691.LI Zhiwei, ZHAO Shuqiang, LI Dongxu, et al. Fast solving of day-ahead power system scheduling chance-constrained model based on improved ε-constrained and deterministic transform by sampling[J]. Proceedings of the CSEE, 2018, 38(16): 4679-4691(in Chinese).
[18] 颜远,林舜江,刘明波. 考虑备用动作约束的含风电场电力系统多目标动态优化调度[J]. 电网技术,2018,42(2):479-487.YAN Yuan, LIN Shunjiang, LIU Mingbo. Multi-objective optimal dynamic dispatch of power system with wind farms considering reserve action constraints[J]. Power System Technology, 2018, 42(2): 479-487(in Chinese).
[19] LIU X O. Research on collaborative scheduling of Internet data center and regional integrated energy system based on electricity-heat-water coupling[J]. Energy, 2024, 292: 130462.
[20] 周世博,周明,孙黎滢,等. 激发多元灵活性的数据中心协同优化运行方法[J]. 电网技术,2024,48(11):4417-4426.ZHOU Shibo, ZHOU Ming, SUN Liying, et al. Optimal synergistic operation method for data center by activating multiple flexibilities[J]. Power System Technology, 2024,48(11): 4417-4426(in Chinese).
[21] 杨挺,姜含,侯昱丞,等. 基于计算负荷时–空双维迁移的互联多数据中心碳中和调控方法研究[J]. 中国电机工程学报,2022,42(1):164-177.YANG Ting, JIANG Han, HOU Yucheng, et al. Study on carbon neutrality regulation method of interconnected multi-datacenter based on spatio-temporal dual-dimensional computing load migration[J]. Proceedings of the CSEE, 2022,42(1): 164-177(in Chinese).
[22] 文淅宇,朱继忠,李盛林,等. 基于时空协同的多数据中心虚拟电厂低碳经济调度策略[J]. 电力系统自动化,2024,48(18):56-65.WEN Xiyu, ZHU Jizhong, LI Shenglin, et al. Low-carbon economic dispatch for multiple data center virtual power plant based on spatio-temporal collaboration[J]. Automation of Electric Power Systems, 2024, 48(18): 56-65(in Chinese).
[23] 张玉莹,曾博,周吟雨,等. 碳减排驱动下的数据中心与配电网交互式集成规划研究[J]. 电工技术学报,2023,38(23):6433-6450.ZHANG Yuying, ZENG Bo, ZHOU Yinyu, et al. Research on interactive integration planning of data centers and distribution network driven by carbon emission reduction[J]. Transactions of China Electrotechnical Society, 2023, 38(23): 6433-6450(in Chinese).
[24] 孙健,柯德平,徐箭,等. 基于高精度热泵模型的电热协同独立微网设备优化配置[J]. 电力自动化设备,2024,44(7):198-204.SUN Jian, KE Deping, XU Jian, et al. Optimal configuration of electric-heat cooperative independent micro-grid equipment based on accurate heat pump model[J]. Electric Power Automation Equipment, 2024, 44(7): 198-204(in Chinese).
[25] TAO R, ZHAO D M, XU C Y, et al. Resilience enhancement of integrated electricity-gas-heat urban energy system with data centres considering waste heat reuse[J]. IEEE Transactions on Smart Grid, 2023, 14(1): 183-198.
[26] 付波,丁慧晴,权轶,等. 考虑电动汽车出行链的园区综合能源系统低碳经济运行研究[J/OL]. 南方电网技术,2025:1-12. (2025-06-04). https://kns.cnki.net/KCMS/detail/detail.as px?filename=NFDW20250530003&dbname=CJFD&dbcode=CJFQ.FU Bo, DING Huiqing, QUAN Yi, et al. Study on low-carbon economic operation of comprehensive energy system in park considering electric vehicle travel chain[J/OL]. Southern Power System Technology, 2025: 1-12. (2025-06-04). https://kns.cnki.net/KCMS/detail/detail.aspx?filename=NFDW20250 530003&dbname=CJFD&dbcode=CJFQ (in Chinese).
[27] 高瑞阳,王新宝,高娴,等. 考虑灵活性资源和多能共享的低碳区域综合能源系统联盟-配电网博弈优化调度[J]. 南方电网技术,2024, 18(2): 77-88.GAO Ruiyang, WANG Xinbao, GAO Xian, et al. Optimal dispatching of low-carbon regional integrated energy system alliance and distribution network game considering flexible resources and multi energy sharing[J]. Southern Power System Technology, 2024, 18(2): 77-88(in Chinese).
[28] 丁雨昊,吕干云,刘永卫,等. 考虑碳排放目标约束和需求侧响应的综合能源系统日前优化调度[J]. 南方电网技术,2022,16(8):1-11.DING Yuhao, LÜ Ganyun, LIU Yongwei, et al. Day-ahead optimal scheduling of integrated energy system considering carbon emission target constraints and demand side response[J]. Southern Power System Technology, 2022, 16(8):1-11(in Chinese).
[29] 周伟,孙永辉,谢东亮,等. 计及改进阶梯型碳交易和热电联产机组灵活输出的园区综合能源系统低碳调度[J]. 电网技术,2024,48(1):61-73.ZHOU Wei, SUN Yonghui, XIE Dongliang, et al. Low-carbon dispatch of park-level integrated energy system considering improved ladder-type carbon trading and flexible output of combined heat and power unit[J]. Power System Technology,2024, 48(1): 61-73(in Chinese).
收稿日期:2024-08-21;修回日期:2025-02-12。
作者简介:

陆煜锌
陆煜锌 (1994),男,工程师,硕士,研究方向为用电人工智能应用技术、用电能效评估与节能技术研究,E-mail:luyx2@csg.cn。
赵云 (1985),男,教授级高级工程师,博士,从事用电人工智能应用技术、智能量测技术研究,E-mail:zhaoyun_cspgcl@163.com。
尹雁和 (1982),男,高级工程师,硕士,从事智能用电与量测研究,E-mail:yinyanhe@zs.gd.csg.cn。
朱继忠 (1966),男,教授,博士生导师,研究方向为综合智慧能源系统优化运行与控制。通信作者,E-mail:zhujz@scut.edu.cn。
(责任编辑 王彦博)