0 引言
现代电网正向高比例电力电子设备和高比例分布式新能源方向发展[1-3],而电力电子设备的异构性、不确定性和强非线性等特征给电力系统的规划、运行、控制和保护等带来诸多挑战[4-5]。其中,电力电子变流器引起的宽频振荡是电网稳定运行的重要威胁之一[6]。截至目前,电网侧和配网侧均发生过多起电力电子设备引起的宽频振荡事件。例如,1995年苏黎世电力机车的电力电子设备与牵引网之间相互作用引起功率振荡,导致列车停运;2006—2009年洋山深水港多次发生由电力电子设备导致的宽频振荡,造成港口设备停运;2011年河北沽源地区风电发生3~10 Hz的次同步振荡,引起数千台风电机组脱网;2015年新疆哈密地区风电场发生次同步振荡导致数百千米外的火电机组停运;2023年1月内蒙古兴安地区发生同时存在10个振荡模态(5对耦合模态)的次/超同步振荡事故,导致光伏电站停运。从实际宽频振荡事件来看,宽频振荡不仅会引起相关电气设备损害,如风电机组撬棒电路损坏、电力变压器长期震动造成设备故障,甚至会造成新能源机组大规模脱网,引起电力系统稳定性问题,从而影响电网安全运行。
国内外学者对风电并网引起的宽频振荡已开展了大量富有成效的研究工作[7-10]。其中,时域仿真及阻抗分析是目前常用的方法。时域仿真分析通过建立系统微分-代数模型,利用数值求解的方法获取电压、电流等物理量的时间轨迹,然后设定不同阈值来评估宽频振荡风险。然而,振荡过程参与环节多、动态交互复杂,需要建立详细的电磁暂态模型来模拟复杂运行工况,计算量巨大,难以实现在线分析[11]。阻抗分析法能够通过物理意义明确的指标,对振荡频率、阻尼信息、振荡源等进行量化分析,而且对“黑/灰箱”系统建模具有显著优势,在理论研究和实际工程中得到了广泛应用。然而阻抗模型本质是小信号分析,难以应对宽频振荡复杂的非线性动态演变过程[12]。能量函数分析法通过定义势能和动能函数,能够真实反映物理过程中的能量变化,在电力系统稳定性分析中得到应用[13-14],可用于在线稳定性评估,无需获取详细的电力电子设备的控制结构和参数模型,不受电力电子变流器非线性环节的影响,在大、小扰动场景下均有较好的适用性。能量函数分析法中李雅普诺夫指数(Lyapunov exponents,LE)可用于描述非线性状态空间中2个相邻轨迹是呈指数收敛还是发散[15-16],其中最大LE(largest Lyapunov exponents,LLE)可表征非线性系统动态过程的稳定性[17],如文献[18-20]基于同步相量装置量测的电压时间序列构建LLE,对电力系统的暂态电压稳定性进行评估。
由于受变流器限幅环节或控制切换等非线性环节的影响,宽频振荡往往会存在混沌状态[21-22],难以用物理模型进行量化分析,而基于监测数据在线计算LLE能够实时量化宽频振荡不同阶段的动态行为。本文首先提出基于多通道自适应带通滤波的宽频相量检测方法,为宽频振荡在线风险评估提供数据支撑;其次,借助宽频相量数据进行振荡演变趋势量化及振荡溯源;然后,融合宽频振荡幅值、动态变化趋势及振荡源等信息,提出宽频振荡紧急控制策略,用于风电系统宽频振荡防控;最后,借助仿真算例和RTDS硬件在环测试对本文所提宽频振荡在线紧急控制策略的有效性进行验证。
1 基于时间序列的宽频振荡特征辨识
1.1 宽频相量检测
宽频相量的准确检测是宽频振荡特征辨识的前提和基础,但由于电力电子设备运行状态的不确定性及非线性等因素,导致宽频振荡具有多模态和时变特性。本文基于多通道自适应窄带通滤波的宽频相量检测方法,快速跟踪宽频振荡的动态变化。基本思路如下。
1)若关注的频率范围为[fmin, fmax],则设置前置滤波环节,将实时采集的电压和电流信号滤除所关注频率范围外的频率分量,避免频率混叠映射出“虚假”频率,造成宽频相量检测的不准确。
2)对前置滤波后的电压/电流信号进行递归离散傅里叶变换(discrete Fourier transform,DFT)[23],初步筛选出宽频振荡的模态信息,如电流幅值I和频率fc等。假设采样周期为Ts的瞬时电流时间序列x[nTs],其中n=k, k+1, k+2, …, k+N-1,k表示采样时刻点,N为该时间序列中的采样点数。该时间序列的DFT结果为X(k, r),那么该时间窗向前移动一个采样点形成的新时间序列为x[(n+1)Ts],其DFT结果可表示为

式中:r表示频率序号,r=0, 1, …, N-1。
递归DFT具有更新速度快、计算工作量小的特点,时间序列每移动一个点,即可依据式(1)计算一次该时间序列的相量信息。因此,在宽频振荡模态初筛环节,递归DFT可以有效应对宽频振荡的时变特性。若模态幅值Ii > I0表示有效模态,其中I0为筛选有效模态设定的阈值,可根据实际工程需要进行设定,通常将其设定为基波电流幅值的1%;模态初筛环节中的频率分辨率∆fs取决于时间序列长度N,即为∆fs=1/(Ts×N)。
3)假设在模态初筛环节共有s个有效模态,则构造s个滤波通道。若以频率间隔∆fq为基准设置中心频率,那么第i个滤波通道的中心频率为fpi=[mod(fci/∆fq)+1]∆fq/2,mod()表示取整函数。以中心频率fpi构建窄带通滤波环节,其传递函数表示为

式中:系数Ai的表达式为

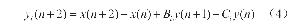
式中:∆ωi=2π∆fi,∆fi=fpi-fci为中心频率与粗筛的模态频率的偏差值;Tpi=1/(fpiN)表示采样间隔。式(2)可转换为差分形式,即
式中:x表示滤波前的信号;yi表示第i个通道滤波后的信号,Bi=2Aicos(2πfpi),Ci=
。
按照式(4)的窄带通滤波函数对前置滤波后的瞬时电压、电流信号进行带通滤波,从而消除模态分量之间的相互影响。
4)对窄带通滤波后的信号yi,选取由L个连续数据点构成的时间序列yi[nT],其中n=k, k+1, k+2, …,k+L-1。在初步筛选出的频率范围[fci-∆fq/2, fci+∆fq/2]内,按照步骤2)中的递归DFT算法计算宽频相量信息。在此计算过程中可设置rM个并行计算通道,其中rM的大小根据实际频率分辨率要求设定。假设得到的相量为

在实际计算过程中,fi(r)不总是等于中心频率fpi,而且由于泄漏效应以及栅栏效应的影响,需要对相量进一步校正。其中频率校正公式为
进一步推导得到相量实部和虚部的校正公式分别为[24]

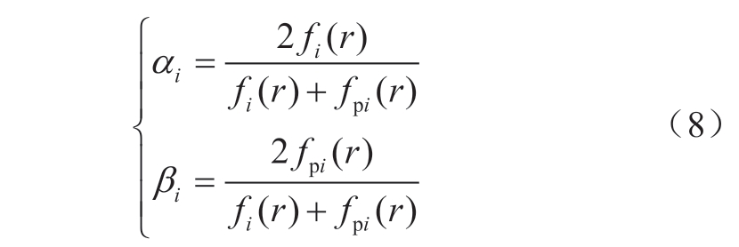
式中:Yre、Yim分别为式(5)计算得到的相量实部和虚部;α,β为相量幅值校正系数,分别为

文中所提宽频相量检测算法通过第一次递归DFT实现宽频振荡模式的筛选及频率范围的初步定位;然后基于自适应窄带通滤波消除不同振荡模态之间的相互影响;进一步采用递归DFT和相量校正算法,在初步筛选出的频率范围内进行宽频相量的精确提取,在此过程中通过设置无数据交换的多个并行计算通道,提高计算速度,保证数据处理的时效性,从而快速响应宽频振荡的动态变化。
1.2 基于宽频幅值时间序列的动态LLE计算
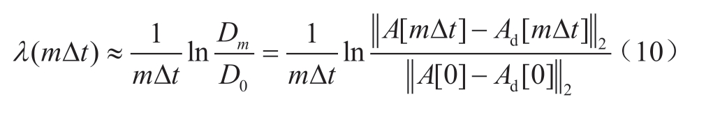
宽频电流相量幅值是宽频振荡变化趋势的直观反映,借助1.1节中的宽频相量检测方法获取宽频振荡各模态电流幅值的时间序列,然后据此时间序列计算LLE,量化评估宽频振荡是否具有失稳风险。假设宽频振荡中某模态电流幅值时间轨迹为A[m∆t],其中m表示第m时刻、∆t表示计算间隔。选取基波电流幅值构成的时间轨迹Ad[m∆t]为相邻轨迹,则在m∆t时刻两相邻轨迹间的欧氏距离Dm可用欧几里得范数表示,即
利用两点式直接法近似求解得到在m∆t时刻的LLE为[25]

式中:A[0]、Ad[0]分别表示模态电流和基波电流相量幅值的初始状态;D0表示初始状态2条轨迹的欧氏距离。
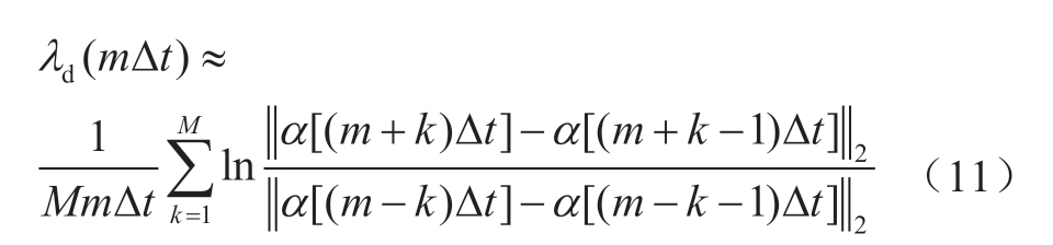
由于受采样噪声及计算误差等因素的影响,仅用2点计算LLE不能准确地反映宽频振荡的实时动态过程。因此,本文定义动态LLE来表征宽频振荡的演变特征。每次从模态电流和基波电流时间序列中取2M个连续的数据点构成计算时间窗,其中前M个数据构成的时间窗作为后M个数据构成的时间窗的初始条件,则在m∆t时刻的模态电流幅值的动态LLE可定义为

式中:α =A( t )-Ad (t )表示模态电流与基波电流幅值的相对值。
由于宽频振荡具有多模态特征,对于每个振荡模式都可由式(11)计算各振荡模态对应的动态LLE,形成集合{λd1, λd2, …, λds},其中s表示振荡模态的个数。其中,λdi大于0表示该模态呈现发散趋势,反之则表示该模态呈现收敛。因此,借助λd的正、负号来表征宽频振荡动态演变过程的收敛和发散特征。
1.3 宽频振荡溯源
已有研究表明[26-29],双馈风电机组经串联补偿装置外送系统发生宽频振荡时,风电机组的模态阻抗呈现“感性电抗+负电阻”特性;直驱风电机组接入弱电网时,风电机组变流器与电网构成的“虚拟阻抗”在宽频振荡频段会出现负电阻特征。这是由于风电机组的控制系统中各控制环节和延迟环节均可能在特定的频率上使输入-输出之间产生大小为π的相移,相当于引入了负电阻效应。实际风电系统引入大量电力电子设备,当控制系统参数或运行方式不合理时,则会产生上述负电阻效应,若风电机组的等效负电阻克服电网的正电阻,使系统整体表现为负电阻时,将会产生不稳定振荡模式[6]。图1是中国实际电网发生宽频振荡时,风电机组的阻抗特性曲线。从图1(a)可以看出,双馈风电机组阻抗表现出“负电阻+感性”特性;图1(b)中直驱风电机组阻抗表现出“负电阻+容性”特性。

图1 风电机组等效阻抗的负电阻特性
Fig.1 The negative resistance characteristic for equivalent impedance for wind turbine
基于上述研究结论,本文通过宽频相量实测数据计算风电机组的模态阻抗,并将模态阻抗中电阻的正、负号作为判断风电机组是否为振荡源的依据。假设宽频振荡某模态的频率为f,该振荡模态下,风电机组端口的模态电压和模态电流分别为U˙、I˙,则对应的模态阻抗可表示为
式中:r(t)、x(t)分别为模态电阻、电抗,可表示为

式中:U(t)、I(t)分别为模态电压、电流的幅值;ϕU(t)、ϕI (t)分别为模态电压、电流的相位。
由1.1节宽频相量计算可知,对于宽频电压/电流相量的计算,可实现每个采样点更新一次,但由于监测过程中宽频电压幅值存在较小的情况,而且相量测量可能会存在一定误差,因此可通过调整相量更新时间∆t,并取M∆t时间段内模态阻抗平均值的方法,来改善动态阻抗计算效果。风电系统宽频振荡溯源的判据为
2 宽频振荡紧急控制策略
紧急控制作为宽频振荡预防控制系统中的“兜底”措施,发挥着至关重要的作用[30]。本文基于宽频相量实时监测数据,计算动态LLE和动态阻抗,以此作为宽频振荡稳定性及振荡源等关键特征的量化指标,提出宽频振荡风险在线评估方法,进一步将评估结果应用于宽频振荡紧急控制。宽频振荡在线风险评估及紧急控制策略的实现流程如图2所示,主要包括5个模块。

图2 宽频振荡风险评估及紧急控制装置功能流程图
Fig.2 Function flowchart of emergency protection device for wideband oscillation
1)数据采集模块。按照定采样率(不低于12.8 kHz)实时采集瞬时电压、电流信号,并进行模数转换和前置滤波,以供后续宽频振荡特征辨识计算使用。
2)宽频相量计算模块。按照1.1节中宽频相量检测方法,检测出宽频振荡各模态的电压/电流相量信息,并根据模态电压/电流幅值是否大于设置阈值(U > Uset1或I > Iset1)来判断是否发生宽频振荡。若监测到宽频振荡则进入第3)步计算动态LLE和模态阻抗;否则继续进行宽频相量计算,以监测是否发生宽频振荡事件。
3)量化指标计算模块。初始化计算LLE及动态阻抗所需时间序列窗口的长度以及计算所需的参数。利用步骤2)计算得到的宽频相量数据,按照1.2节和1.3节的方法,实时计算监测周期内宽频振荡动态LLE及风电机组的模态阻抗,并更新各项计算结果。根据模态电压/电流幅值是否大于设置的阈值(U > Uset2或I >Iset2),判断是否启动风险评估模块。
4)风险评估模块。基于每个监测周期计算得到动态LLE的正负号,判断宽频振荡的动态变化趋势。若λd <0,则表示宽频振荡呈现收敛趋势;否则,若宽频振荡呈现发散趋势,即λd > 0,则进一步根据风电机组模态电阻数值的正负号判断风电机组是否为振荡源。当r > 0,则判定风电机组不是振荡源,此时只需发出宽频振荡告警信息;当r < 0,则判定风电机组为宽频振荡源,并发出宽频振荡紧急控制启动信号。风险评估模块形成的紧急控制策略如表1所示。
表1 紧急控制策略表
Table 1 Table of emergency control strategy

5)紧急控制模块。此模块主要是判断紧急控制策略的时间条件是否满足,即振荡是否为持续性振荡。若条件λd > 0且r < 0的持续时间t > tset,则发出紧急控制动作信号,切除作为宽频振荡源的风电机组,从而实现宽频振荡紧急控制。
3 仿真算例
3.1 检测算法验证
为了验证所提宽频相量检测方法在不同噪声下测量结果的准确性,本节采用理想信号进行仿真验证。设含噪声的原始信号为
式中:A为各频率分量幅值;f 为信号频率;ϕ为信号相位;N(t)为噪声信号。
实际电网中,宽频振荡的不同模态之间具有频率耦合关系,故式(15)中参数设置如下:A1=4.8、A2=20、A3=2.5,f1=25.4 Hz、f2=50 Hz、f3=74.6 Hz,ϕ1=30°、ϕ2=75°、ϕ3=110°,仿真数据长度为1 s,仿真步长为Ts=10-3 s。噪声信号N(t)的信噪比分别为20、30、40时,基于本文所提方法对上式信号进行相量计算,得到幅值、频率、相位的最大相对误差∆A、∆f、 ∆ϕ,如表2所示。从分析结果来看,不同信噪比下,各相量值的最大相对误差小于10%,验证了本文所提算法可准确获取各振荡模态相量,测量结果精度高。
表2 不同信噪比下相量结果的最大相对误差
Table 2 Maximum relative error of phasor results under different signal-to-noise ratios

3.2 功能验证
本文以图3所示的RTDS硬件在环测试平台,验证宽频振荡风险评估策略的有效性。该测试平台由RTDS平台、功率放大器和紧急控制装置组成。仿真系统为含直驱机组风电机组的配电网,其结构如图4所示。紧急控制装置安装于风电并网点35 kV母线处,采集35 kV母线电压和风电并网线路电流以及线路断路器1的开关状态。仿真初始条件为:恒风速v = 12 m/s,风机网侧控制器中电流内环控制回路PI控制环节的比例系数和积分系数Kpi、Kpd分别为0.4、9,风电机组输出功率为2.5 MW。

图3 RTDS硬件在环测试平台
Fig.3 Hardware-in-loop test plat

图4 测试系统结构示意图
Fig.4 Structure diagram of the testing system
3.2.1 宽频相量检测方法验证
为验证本文所提宽频相量检测方法的性能,仿真过程中改变风电机组中网侧控制器中电流内环的控制参数Kpi为0.15,以激发系统发生宽频振荡。风电机组输出电流及有功功率如图5所示。

图5 RTDS仿真结果
Fig.5 Simulation results of RTDS
对风电输出电流的RTDS录波数据进行频谱分析,结果如图6所示。从分析结果看出,上述振荡中含有6 Hz的次同步分量和94 Hz的超同步分量,其中,6 Hz和94 Hz的振荡频率分量都呈发散趋势。以t=2.0~3.0 s时间段内RTDS录波数据的FFT结果为基准,对本文宽频相量检测算法得到的相量进行误差分析,结果如表3所示。其中振荡频率误差最大为-0.002 Hz、幅值误差最大为-0.007 A、相位误差最大为0.21°,满足同步相量监测要求,可为后续宽频振荡风险评估提供数据。
表3 相量测量误差分析结果
Table 3 Results of phasor measurement errors


图6 线路电流频谱分析结果
Fig.6 FFT results of line current
3.2.2 宽频振荡风险评估及紧急控制功能验证
为验证本文所提宽频振荡风险评估策略及其在宽频振荡紧急控制方面的有效性,设宽频振荡告警及紧急控制启动的电流幅值阈值Iset1、Iset2分别为基波电流幅值的4%和9%,采用3.2.1节中相同的仿真条件,风电机组输出电流及次同步电流幅值Isub的变化曲线如图7所示。

图7 宽频振荡发散
Fig.7 Results of unstable wideband oscillation
当次同步电流幅值Isub=0.3 A大约为基波电流幅值Ibase = 7.5 A的4%时,装置发出告警信息;当Isub=0.7 A大约为基波电流幅值Ibase的9%时,触发宽频振荡紧急控制计算阈值,进一步基于次同步电流幅值计算得到λ=0.732>λset=0,同时计算得到风电机组在次同步振荡频率下的模态阻抗
=-32.15 Ω < 0,判定风电机组为振荡源。综上,各条件满足宽频振荡紧急控制的动作条件,紧急控制启动信号保持0.5 s(算例中动作信号保持时间的设置仅为验证本文所提算法有效性所设,不具有参考意义,实际工程中可根据实际情况整定)后,紧急控制装置发出风电机组并网线路断路器动作指令,实现宽频振荡的紧急控制,达到消除宽频振荡源的目标。
对于宽频振荡收敛情况,风电机组输出功率和次同步电流幅值如图8所示。次同步振荡电流最大值约为基波电流幅值的3.65%,小于告警阈值4%,而且最大李雅普诺夫指数λ=-0.228 6 s-1 < 0,表明宽频振荡收敛,没有满足幅值越限和振荡发散判据,因此装置不会发出宽频振荡告警及保护动作信号。

图8 宽频振荡收敛
Fig.8 Results of stable wideband oscillation
若在宽频振荡风险评估策略中不加入振荡源判据,仅以电流相量幅值作为保护条件,则可能会导致宽频振荡紧急控制装置误切,给风电场造成经济损失,严重时可能会引起电网稳定性问题。本文通过宽频振荡源的负电阻特性以及宽频相量时间序列的量化指标,实现宽频振荡溯源和动态演变趋势的研判,可精确筛选出需要采取宽频振荡紧急控制措施的对象,有助于提高宽频振荡紧急控制的准确性。综合上述测试结果,可见本文提出的宽频振荡风险评估策略可准确量化宽频振荡的动态变化趋势及振荡溯源,能够发出宽频振荡保护动作信号,快速隔离宽频振荡源,避免宽频振荡持续发散,造成设备和系统运行风险。
4 结论
本文所提宽频振荡紧急控制策略,融合宽频振荡幅值、态势演变及溯源等多个风险评估结果,提高了宽频振荡紧急控制的准确性,主要结论如下。
1)本文所提基于多通道自适应窄带通滤波的宽频相量检测方法,通过初步筛选环节的振荡模态信息可缩小频率搜索范围,设置并行计算通道,可提高宽频相量计算速度。
2)基于动态基于最大李雅普诺夫指数进行宽频振荡态势判别,不依赖系统运行方式和物理模型,能够快速、准确地得到风险评估结果。
3)在实施宽频紧急控制时,应该综合考虑振荡幅值、振荡源及振荡趋势等多维度物理量,将其作为紧急控制条件,以提高宽频振荡紧急控制的精确性和准确性,避免对“伪”振荡实施控制措施而造成不必要的功率损失。
本文所提方法除用于风电系统宽频振荡紧急控制外,还适用于高比例可再生能源和高比例电力电子设备系统的宽频振荡广域监测与保护。下一步将继续研究本文所提方法在不同振荡场景下的适用条件,以提高宽频振荡紧急控制的准确性。
参考文献
[1]舒印彪,陈国平,贺静波,等.构建以新能源为主体的新型电力系统框架研究[J].中国工程科学,2021,23(6):61-69.SHU Yinbiao, CHEN Guoping, HE Jingbo, et al.Building a new electric power system based on new energy sources[J].Strategic Study of CAE, 2021, 23(6): 61-69 (in Chinese).
[2] 皇甫成,郭金智,贾非,等.一种考虑新能源出力相关性及不确定性的分布式发电规划策略[J].电网与清洁能源,2022,38(3):105-110.HUANGFU Cheng, GUO Jinzhi, JIA Fei, et al.A distributed generation planning strategy considering the correlation and uncertainty of renewable energy output[J].Power System and Clean Energy, 2022, 38(3): 105-110 (in Chinese).
[3]李群,张宁宇,王新宝,等.电力潮流灵活控制技术应用综述[J].电力工程技术,2023,42(1):50-60.LI Qun, ZHANG Ningyu, WANG Xinbao, et al.Review on application of flexible power flow control technology[J].Electric Power Engineering Technology, 2023, 42(1): 50-60 (in Chinese).
[4]马伟明.关于电工学科前沿技术发展的若干思考[J].电工技术学报,2021,36(22):4627-4636.MA Weiming.Thoughts on the development of frontier technology in electrical engineering[J].Transactions of China Electrotechnical Society, 2021, 36(22): 4627-4636 (in Chinese).
[5]马宁宁,谢小荣,贺静波,等.高比例新能源和电力电子设备电力系统的宽频振荡研究综述[J].中国电机工程学报,2020,40(15):4719-4731.MA Ningning, XIE Xiaorong, HE Jingbo, et al.Review of wide-band oscillation in renewable and power electronics highly integrated power systems[J].Proceedings of the CSEE,2020, 40(15): 4719-4731 (in Chinese).
[6]李明节,于钊,许涛,等.新能源并网系统引发的复杂振荡问题及其对策研究[J].电网技术,2017,41(4):1035-1042.LI Mingjie, YU Zhao, XU Tao, et al.Study of complex oscillation caused by renewable energy integration and its solution[J].Power System Technology, 2017, 41(4): 1035-1042 (in Chinese).
[7]张天翼,杜文娟,陈晨,等.弱连接条件下并网直驱风电场引发无串补电力系统次同步扭振机理研究[J].中国电机工程学报,2020,40(18):5875-5884.ZHANG Tianyi, DU Wenjuan, CHEN Chen, et al.A mechanism investigation on SSTOs in power systems without series compensated lines induced by PMSG wind farms under the condition of weak grid connection[J].Proceedings of the CSEE, 2020, 40(18): 5875-5884 (in Chinese).
[8]李光辉,王伟胜,张兴,等.考虑机侧模型的直驱风电机组序阻抗建模及分析[J].中国电机工程学报,2019,39(21):6200-6211.LI Guanghui, WANG Weisheng, ZHANG Xing, et al.Sequence impedance modeling and analysis of permanent magnet synchronous generator considering machine side model[J].Proceedings of the CSEE, 2019, 39(21): 6200-6211(in Chinese).
[9]MA J, SHEN Y Q.Stability assessment of DFIG subsynchronous oscillation based on energy dissipation intensity analysis[J].IEEE Transactions on Power Electronics, 2020, 35(8): 8074-8087.
[10]郑少明,刘一民,董鹏,等.张北工程风电柔直汇集系统次、超同步振荡分析[J].全球能源互联网,2023,6(6):608-617.ZHENG Shaoming, LIU Yimin, DONG Peng, et al.Analysis of sub/super-synchronous oscillation between wind farm and MMC in Zhangbei Project[J].Journal of Global Energy Interconnection, 2023, 6(6): 608-617 (in Chinese).
[11]张伯明,陈寿孙,严正.高等电力网络分析(第2版)[M].北京:清华大学出版社,2007:25-40.
[12]LIU H K, XIE X R, HE J B, et al.Subsynchronous interaction between direct-drive PMSG based wind farms and weak AC networks[J].IEEE Transactions on Power Systems, 2017,32(6): 4708-4720.
[13]任怡娜,陈磊,闵勇,等.次同步振荡中暂态能量流与电功率和阻尼转矩的关系[J].电力系统自动化,2018,42(22):52-58.REN Yina, CHEN Lei, MIN Yong, et al.Relationship between transient energy flow, electric power and damping torque in subsynchronous oscillation[J].Automation of Electric Power Systems, 2018, 42(22): 52-58 (in Chinese).
[14]陈曦,吴熙,顾文,等.基于次同步模态能量的双馈风机并网系统次同步振荡能量分析与溯源方法研究[J].中国电机工程学报,2023,43(15):5863-5876.CHEN Xi, WU Xi, GU Wen, et al.Research on energy analysis and SSO source location method for power grids with DFIGs based on the sub-synchronous modal energy[J].Proceedings of the CSEE, 2023, 43(15): 5863-5876 (in Chinese).
[15]YOON K, CHOI D, LEE S H, et al.Optimal placement algorithm of multiple DGs based on model-free Lyapunov exponent estimation[J].IEEE Access, 2020, 8: 135416-135425.
[16]MODARRESI J, GHOLIPOUR E, KHODABAKHSHIAN A.A comprehensive review of the voltage stability indices[J].Renewable and Sustainable Energy Reviews, 2016, 63: 1-12.
[17]黄丹,孙华东,周勤勇,等.基于响应轨迹最大李雅普诺夫指数动态特征的暂态稳定在线监测[J].电力自动化设备,2020,40(4):48-55.HUANG Dan, SUN Huadong, ZHOU Qinyong, et al.Online monitoring of transient stability based on largest Lyapunov exponent dynamic characteristics of response trajectory[J].Electric Power Automation Equipment, 2020, 40(4): 48-55 (in Chinese).
[18]RAVIKUMAR G, KHAPARDE S A.Taxonomy of PMU data based catastrophic indicators for power system stability assessment[J].IEEE Systems Journal, 2018, 12(1): 452-464.
[19]GE H C, GUO Q L, SUN H B, et al.An improved real-time short-term voltage stability monitoring method based on phase rectification[J].IEEE Transactions on Power Systems, 2018,33(1): 1068-1070.
[20]WADDUWAGE D P, WU C Q, ANNAKKAGE U D.Power system transient stability analysis via the concept of Lyapunov exponents[J].Electric Power Systems Research, 2013, 104:183-192.
[21]薛安成,付潇宇,王嘉伟,等.双馈风机系统的切换型混沌振荡及其非光滑分岔特性[J].电力自动化设备,2020,40(9):170-176.XUE Ancheng, FU Xiaoyu, WANG Jiawei, et al.Switched chaotic oscillation and non-smooth bifurcation characteristics of DFIG system[J].Electric Power Automation Equipment,2020, 40(9): 170-176 (in Chinese).
[22]马宁宁,谢小荣,亢朋朋,等.高比例风电并网系统次同步振荡的广域监测与分析[J].中国电机工程学报,2021,41(1):65-74.MA Ningning, XIE Xiaorong, KANG Pengpeng, et al.Widearea monitoring and analysis of subsynchronous oscillation in power systems with high-penetration of wind power[J].Proceedings of the CSEE, 2021, 41(1): 65-74 (in Chinese).
[23]王宏伟,郑文秀.计算DFT谱的改进递归算法[J].系统工程与电子技术,2013,35(11):2263-2268.WANG Hongwei, ZHENG Wenxiu.Improved recursive algorithm of DFT implementation[J].Systems Engineering and Electronics, 2013, 35(11): 2263-2268 (in Chinese).
[24]宋鑫超,刘启明,苏庆堂.基于FFT最大谱线处相位差的频谱校正方法[J].控制工程,2017,24(5):1086-1089.SONG Xinchao, LIU Qiming, SU Qingtang.Spectrum correction method based on FFT maximum spectrum phase difference[J].Control Engineering of China, 2017, 24(5):1086-1089 (in Chinese).
[25]BOSETTI H, KHAN S.Transient stability in oscillating multi-machine systems using Lyapunov vectors[J].IEEE Transactions on Power Systems, 2018, 33(2): 2078-2086.
[26]王亮,谢小荣,姜齐荣,等.大规模双馈风电场次同步谐振的分析与抑制[J].电力系统自动化,2014,38(22):26-31.WANG Liang, XIE Xiaorong, JIANG Qirong, et al.Analysis and mitigation of SSR problems in large-scale wind farms with doubly-fed wind turbines[J].Automation of Electric Power Systems, 2014, 38(22): 26-31 (in Chinese).
[27]曹建春,项祖涛,燕翚,等.抑制双馈风电场次同步谐振的STATCOM研究[J].电网技术,2019,43(3):895-902.CAO Jianchun, XIANG Zutao, YAN Hui, et al.Research on mitigating DFIG wind farm SSR with STATCOM[J].Power System Technology, 2019, 43(3): 895-902 (in Chinese).
[28]CHOWDHURY M A, MAHMUD M A, SHEN W X, et al.Nonlinear controller design for series-compensated DFIGbased wind farms to mitigate subsynchronous control interaction[J].IEEE Transactions on Energy Conversion, 2017,32(2): 707-719.
[29]马静,沈雅琦,杜延菱,等.适应宽频振荡的风电并网系统主动阻尼技术综述[J].电网技术,2021,45(5):1673-1686.MA Jing, SHEN Yaqi, DU Yanling, et al.Overview on active damping technology of wind power integrated system adapting to broadband oscillation[J].Power System Technology, 2021,45(5): 1673-1686 (in Chinese).
[30]衣立东,马宁宁,丁茂生,等.新型电力系统宽频振荡防控体系架构[J].电网技术,2023,47(10):4092-4101.YI Lidong, MA Ningning, DING Maosheng, et al.Framework of prevention and control system for wide-band oscillations in new-type power systems[J].Power System Technology, 2023,47(10): 4092-4101 (in Chinese).
Study on Emergency Control Strategy of Wideband Oscillation in Power Systems with High-percentage Wind Power
LIU Jinsong1, MA Ningning2*, LIU Shu1
(1.State Grid Shanghai Municipal Electric Power Company, Pudong New District, Shanghai 200122, China;2.State Key Laboratory of New Type Power System Operation and Control (Department of Electrical Engineering,Tsinghua University), Haidian District, Beijing 100084, China)
Abstract: Wideband oscillation emergency control is one of the“bottom line” measures to ensure the safe operation of wind power systems.It is difficult to establish an accurate mathematical model to assess this risk, due to the complex and variable nature of wind power systems.To address this issue, a new emergency control strategy has been proposed that is based on data analysis.Firstly, a wideband phasor monitoring algorithm has been developed to detect and assess wideband oscillation.Secondly, the largest Lyapunov exponent (LLE) is used to measure the dynamic evolution trend of wideband oscillation and identify its source.The oscillation source is identified by analyzing the negative resistance characteristic of the wind turbine.Based on the identification results, an online risk assessment method for wideband oscillation has been proposed and applied to the emergency control strategy.The effectiveness and reliability of the proposed method have been verified using a real-time digital simulator (RTDS) hardware-in-the-loop platform.
Keywords: wind power system; wideband oscillation; impedance characteristics; source-identifying; largest Lyapunov exponent
文章编号:2096-5125 (2024) 05-0558-09
中图分类号:TM721
文献标志码:A
DOI:10.19705/j.cnki.issn2096-5125.2024.05.009
基金项目:国网上海市电力公司科技项目(B30940220006)。
Science and Technology Foundation of State Grid Shanghai Municipal Electric Power Company (B30940220006).
收稿日期:2024-03-27;修回日期:2024-05-22。
作者简介:

柳劲松
柳劲松(1971),男,博士,教授级高级工程师,主要研究方向为智能配电网。
马宁宁(1987),男,博士,助理研究员,主要研究方向为电力系统宽频振荡、频率稳定及电网时空动态分析等。通信作者,E-mail:mnsdxt@163.com。
刘舒(1987),女,硕士,高级工程师,主要研究方向为智能配电网。
(责任编辑 翁宇威)