0 引言
电力系统暂态稳定评估是确保电力系统在发生大幅度扰动后能够恢复到稳定运行状态的一项重要任务。目前电网结构逐步呈现出复杂多变的新形态特征[1-2],电力系统面临更多暂态稳定风险,快速、准确的电力系统暂态稳定评估对于紧急控制策略的制定,保障电网安全稳定运行具有重要意义。
时域仿真[3-4]作为常用的传统工具,利用数值积分方法求解描述电力系统动态行为的微分-代数方程,通过对电力系统不同节点处状态量的建模和求解,最终得到系统在给定扰动下的响应和稳态情况下的电气特性。而在现代电力系统中,电网规模不断扩大,其结构和运行方式也发生剧烈变化,新能源发电的随机性和波动性、规模分布式电源也增加了系统的不确定性,增加了系统失稳的风险[5-6],同时给传统的需要大量耗时的计算工作带来了挑战。
数据驱动的电力系统暂态稳定评估是指利用机器学习、人工智能等数据驱动技术来解决电力系统暂态稳定问题[7-11],得益于数据驱动技术在处理多因素共同作用的高维度复杂非线性问题方面的应用,已有学者对人工智能在电力系统暂态稳定方面的应用做了广泛而深入的探索,如决策树 (decision tree,DT)[12]、支持向量机 (support vector machine,SVM)[13-14]、人工神经网络 (artificial neural network,ANN)[15]等。与此同时,深度学习技术可以从原始数据中提取高级特征,并捕捉复杂的非线性动态,从而增强模型的泛化能力。卷积神经网络 (convolutional neural network,CNN)[16-19]、堆叠自编码器(stacked auto-encoder,SAE)[20]、循环神经网络 (recurrent neural network,RNN)包括长短期记忆网络 (long short-term memory,LSTM) [21-22]和门控循环单元 (gate recurrent unit,GRU) [23-24]等模型在电力系统暂态稳定性评估中表现良好。
然而系统的暂态稳定性是系统中多电气量时序响应的结果,上述模型中CNN对时序特征的挖掘能力不足,RNN没有充分考虑多时序特征之间的耦合。同时,数据驱动模型通常被视为“黑盒子”,其内部结构和决策过程不能被直观看到,而在电力系统暂态稳定评估过程中,模型的可解释性对于电力工程师的有效判断和决策非常重要[25-27]。
本文提出一种具有双塔结构的Transformer[28]暂态稳定评估模型,以Transformer编码器[29]作为特征提取器,以同一时刻不同维度特征以及各维度特征序列作为模型输入基本单元分别输入双通道特征提取器。然后通过拼接融合、训练和学习建立一个从系统特征到系统稳定性的端到端映射模型,实现对系统暂态稳定性的高精度评估,同时注意力热图的可视化为模型的决策过程提供了一定的解释性。最后通过IEEE-39节点系统上的仿真和测试实验证明所提方法的有效性。
1 电力系统暂态稳定特征分析
电力系统的动态行为通常由微分代数方程表示:
式中:状态变量x包括发电机的转子角度、机端电压、机械功率等变量;代数变量y包含每条母线上的电压、角度和功率等;p表示可能影响暂态稳定性的参数,包括发电机出力、负荷水平、故障信息等。
在暂态过程中,各种状态变量和代数变量均相互关联,能在不同程度上反映系统的稳定性。图1为某电力系统线路在0.5 s发生三相短路接地故障,断路器分别在故障0.1 s、0.2 s后动作切除故障线路,由故障持续时间不同而产生的系统暂态稳定和不稳定2种情况下各发电机的功角和各节点的电压幅值曲线。可以看出,在故障完全切除后,当系统暂态稳定,各节点电压迅速回升并保持在额定值附近,各发电机功率在短时期震荡后恢复至额定值左右;当系统暂态失稳时,部分节点电压幅值会大幅跌落,部分发电机的有功功率呈增大趋势。

图1 系统特征随时间变化趋势
Fig.1 The trend of system characteristics over time
基于数据驱动的电力系统暂态稳定评估关键在于对暂态行为中系统特征的提取,根据系统运行状态、扰动情况或受扰后的相关量测曲线等信息将其分为稳定和不稳定2类。这种由特征到稳定性结果的映射关系,其数学表达式与系统暂态稳定边界等价。
为了充分挖掘暂态过程中多维特征之间的交互性以及各个特征的时变性,本文以故障后发电机有功、无功功率,母线电压、相角,线路有功、无功功率的变化轨迹作为模型输入特征,搭建双塔结构的Transformer模型用于系统暂态稳定性评估。
2 模型原理
Transformer是一种基于注意力机制的深度学习模型,由编码器和解码器组成,通常用于处理序列数据。在电力系统暂态稳定评估中,本文只用Transformer的编码器并根据特征提取需要搭建具有双塔结构的Transformer模型。
2.1 Transformer编码器
Transformer编码器结构如图2所示,由位置编码、特征嵌入和N个Transformer子模块构成。位置编码和特征嵌入通过正弦和余弦函数计算得到的固定值表示特征的位置:

图2 Transformer编码器结构
Fig.2 Structure of Transformer encoder
式中:Pos表示特征在序列中的位置;i表示位置编码向量中的维度索引;dmodel表示特征的维度。在分析电力系统暂态过程中的数据时,位置编码用于表示特征随时间步的变化顺序。
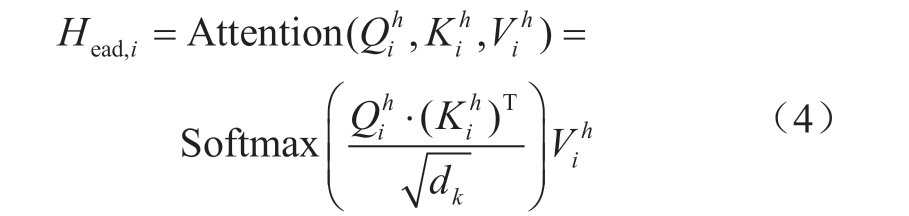
每个子模块包括多头自注意力层和前馈神经网络,各层之间采用残差连接,并进行层归一化处理。其中,多头注意力机制是Transformer模型的核心组成部分,它能够将输入投影到多个不同的表示空间并独立计算注意力权重,从而提高模型整体的表达能力和泛化能力。如图3所示,对于嵌入的特征向量分别与三个权重矩阵WQ、WK、WV相乘得到查询向量Qi、键向量Ki和数值向量Vi:


图3 多头注意力机制
Fig.3 Multi-head attention mechanism
每个头的注意力权重计算公式如下:

式中:Softmax表示对注意力得分进行归一化;
是为了缩放注意力得分。将 h个头的注意力结果拼接起来,并进行线性变换得到最终的多头注意力输出:
式中:WO为权重矩阵。
前馈层由2层全连接网络构成,每层对输入向量线性变换,中间的隐藏层使用ReLu函数激活:
式中:W 和b 为可学习参数。前馈层的作用是通过更复杂的非线性变换和特征提取,提高模型的表达能力。
层归一化对每个位置的特征进行归一化处理,以减少内部协变量偏移,其计算公式可以表达为
式中:X 是输入张量;β 是可学习的缩放参数和偏置参数;µ和σ 分别是输入张量X 沿着最后一个维度的均值和标准差;∊是一个很小的常数,用于数值稳定性。
残差连接的表达式为
式中:X是输入张量;Sublayer表示子层的计算,可以是多头注意力机制或前馈神经网络的输出。通过残差连接,模型不需要直接学习恒等映射,而是学习残差使得网络更容易优化和训练。
2.2 双塔Transformer模型结构
以Transformer编码器中的子模块为基本结构,利用其提取特征的能力,本文构建的具有双塔结构的Transformer模型如图4所示。

图4 双塔Transformer模型结构
Fig.4 Structure of two-tower Transformer model
常规的Transformer模型将所有特征变量在同一时刻的时间点作为一个建模基本单元,如图4中右侧输入所示。模型以此作为建模基本单元,在处理时序数据时无法有效捕捉较长时间范围内的依赖关系。此外,来自不同变量的时间点被映射为多维特征后,模型无法显式区分并捕捉变量间关联。
本文倒置建模多变量时间序列,如图4中左侧输入所示,将特征变量的整条序列独立地映射为建模单位。每个特征的位置信息没有相对和绝对的关系,因此不再通过位置编码添加位置信息。以特征变量为主体,通过注意力机制自然地挖掘多特征变量关联。
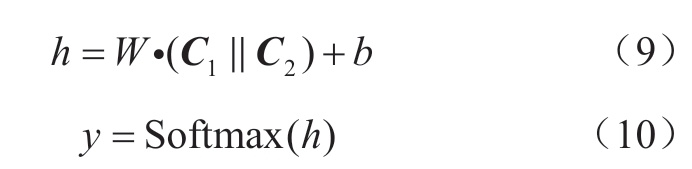
综合考虑多维特征通道和时间步长的影响,拼接二者提取特征后的向量并通过一个线性层最终决定评估结果:

式中:C1和C2分别表示不同维度特征变量对于暂态稳定的影响以及同一特征变量在不同时间步对系统稳定性影响结果的中间表示向量;‖表示拼接操作;W和b为参数;y为通过Sofmax函数最终输出的暂态稳定性预测标签。
3 基于Transformer 的暂态稳定评估
基于Transformer的暂态稳定评估流程如图5所示,分为离线训练和在线应用2个阶段,其中离线训练阶段主要包括数据生成和数据集构建、模型训练与参数优化、模型验证与测试等步骤。

图5 基于Transformer的暂态稳定评估流程
Fig.5 Process of Transformer-based transient stability assessment
3.1 数据处理和样本集构建
样本集包括离线仿真所得各样本的特征变量以及稳定性标签。本文选择故障后母线电压和相角、线路有功功率与无功功率、发电机有功功率与无功功率作为模型的输入特征,取采样时间间隔T为0.01 s,则各变量轨迹采样的时间窗长为(k-1)T,其中k为采样点数,在这里取50。所有特征数据在输入模型前需要经过标准化处理:
式中:l′为标准化后的值;µl、σl 分别为某一特征l的均值和方差。暂态稳定性标签通过暂态稳定指数ITSI确定,其计算公式为

式中:∆δmax 为任意两发电机功角差的最大值。当ITSI>0时系统稳定,标签记为[1,0];当ITSI<0时系统失稳,标签为[0,1]。
3.2 模型训练和模型评估
本文设置 Transformer层数为6,多头注意力数为8,前馈神经网络神经元数量为512。训练过程采用Adam优化器,利用Dropout防止过拟合。考虑到实际电力系统中发生失稳的情况比较少,而训练模型时失稳样本的数量非常少,模型可能会偏向于预测系统处于稳定状态。针对类别不平衡的问题,采用具有L2正则化项的带权重的交叉熵损失函数:
式中:y 为系统稳定性的标签;f 为模型的输出值;ωi 为每一节点类别的平衡系数;λ 为权重衰减参数;W 为模型的权重参数;W 为权重向量的2范数,用于限制权重的大小并减少模型对训练数据的过拟合。
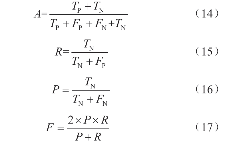
对于暂态稳定评估任务,基于表1的混淆矩阵,通过准确率A (accuracy)、召回率R (recall)、精准率P(precision) 和F1分数F (F1-score) 4个指标来衡量模型的性能。
表1 混淆矩阵
Table 1 Confusion matrix

定义暂态稳定评估任务指标计算公式如下:

准确率是衡量模型性能的首要指标,它代表模型评估的准确性;召回率表示在所有失稳定样本中正确分类的比例,其值越大表示模型更不易出现失稳漏报警;精准率用于反映失稳误报警的概率。F1分数是精确率和召回率的调和平均数,更能客观评价模型的性能。
3.3 在线评估
训练好的模型应用于在线评估阶段,当发生故障时,PMU量测数据经过处理后可以输入到模型中,评估系统暂态稳定性并给出结果,同时输出特征注意力分布矩阵。
注意力的可解释性体现于,注意力权重的高低对应特征的重要程度,高权重的特征单元对输出结果具有更高的决定性。可以通过观察注意力权重的分布,了解模型在处理输入数据时关注的重要特征。
当评估结果为稳定时则不需要任何动作,继续对系统进行监测即可;若发生失稳,则根据模型输出结果关注重点区域并考虑施加相应的稳控措施。
4 算例分析
4.1 数据集生成
算例采用基频为60 Hz的IEEE-39节点电力系统,图6为其节点系统拓扑结构图。Transformer模型基于Python中的Pytorch搭建,样本通过电力系统时域仿真软件PSD-BPA时域仿真产生。具体模拟的条件包括不同负荷水平(80%~120%以5%为步长),同时改变发电机出力使系统功率平衡;各交流线路不同位置(距首端10%~90%以10%为步长)发生持续时间在0.1 s、0.2 s和0.3 s的三相短路故障。最终生成样本集包括9180个样本,其中1993个样本为失稳,7187个样本稳定,按照7∶3的比例随机划分为训练集和测试集。

图6 IEEE-39节点电力系统
Fig.6 The IEEE-39 node power system
4.2 暂态稳定评估结果
为了验证模型性能,本文采用机器学习算法包括LR、SVM、Xgboost以及深度学习算法包括CNN、LSTM、GRU作为对比模型并基于测试集测试。具体地,SVM采用径向基核函数,惩罚因子C取值为10。XGBoost模型中树的数量选取为100,最大深度为10。CNN采用的网络结构为输入+卷积+池化+卷积+池化+2层全连接+Sofmax输出层,卷积核大小为3,池化层大小为1。LSTM模型设计为2层神经元数量分别为64、32的LSTM层和2层全连接层相连接的结构;GRU模型结构同LSTM模型,将LSTM单元替换为GRU单元。不同模型的评估结果对比如表2所示。
表2 不同模型的评估结果对比
Table 2 Comparison of evaluation results of different models

4.3 模型中注意力分布及可视化
当模型对输入数据进行处理时,根据对暂态稳定结果的影响不同,对同一时刻不同维度特征以及同一特征在不同时间维度赋予不同的注意力权重,由注意力系数按照输入基本单元维度加权生成注意力分数矩阵并绘制注意力分数热图,提供可视化结果以及可解释性分析,以便更好地理解输入中的关键信息。
注意力分数热图通过颜色深浅或数值大小的变化来表示模型对输入不同的关注程度,从而帮助人们理解模型在处理输入时的关注重点和决策过程,以便后续处理可能存在的失稳情况。图7给出了测试集中随机100个样本,汇总所有头注意力求平均,并按照输入序列中的基本单元汇总注意力得到的面向时间维度和特征维度的分布注意力热图。可以看到,由于各个样本故障持续时间和故障位置不同导致的模型对不同样本的特征关注度不同,多维特征在不同时间步都会对暂态稳定评估结果产生影响。

图7 测试集样本时间和特征维度分布注意力热图
Fig.7 Test set sample time and feature dimension distribution attention heat map
为进一步分析特征和模型的映射关系,按照生成样本时模拟施加故障的持续时间对样本分类,可视化结果如图8所示。每0.1 s对应12个时间步,可以看到,相比于故障持续中的特征,故障后的系统特征部分颜色更深,模型更加关注故障后的系统特征,故障后的系统特征更能反映系统的稳定性变化趋势。

图8 不同故障持续时间样本时间维度分布注意力热图
Fig.8 Time dimension distribution attention heat map of samples with different fault duration
为验证模型关注部分特征对于输出决策的影响,将本文特征集记为特征集1,特征集2取故障持续中等间隔12个时间步的系统特征,特征集3取故障切除后0.1 s的系统特征,采用本文模型进行评估,结果如表3所示。可以看到,包含整个故障持续时间和故障清除后时间的特征信息更全,模型评估准确率最高;相比于特征集2,使用特征集3的模型性能更强,说明故障清除后特征所蕴含的信息更丰富,原始模型通过注意力机制识别到了对模型预测具有重要价值的特征。
表3 不同特征集评估结果对比
Table 3 Comparison of evaluation results of different feature sets

为验证所提双塔结构的有效性,本文分别以同一时刻多维度特征和同一特征不同时间步轨迹为基本单元,作为单塔Transformer模型的输入,分别记为Transformer 1和Transformer 2,评估结果如表4所示。
表4 不同模型结构的评估结果对比
Table 4 Comparison of evaluation results of different model structures

可以看到,相对于单一Transformer编码器所提取的特征,本文所提双塔结构模型考虑到多维度特征的时序性,有效捕获输入数据的多层次特征从而提高模型对系统暂态行为中各特征复杂关系的理解能力。T-SNE[30]可视化特征提取效果如图9所示,可以看到,原始的高维特征中2类样本重叠程度较高,难以区分;经过双塔Transformer特征提取并分类后呈现出清晰的分界面。

图9 特征提取T-SNE可视化
Fig.9 Feature extraction T-SNE visualization
5 结论
本文构建了一个具有双塔结构的Transformer模型以实现暂态稳定性评估,通过在IEEE-39节点系统上的仿真研究,得到以下结论。
1) 系统暂态稳定性是故障后多维度时序特征共同作用的结果,在暂稳评估中有必要考虑这些因素。
2) 本文提出的双塔结构Transformer模型通过训练和学习特征通道,以及时间步长对系统暂态稳定性的影响,并通过融合机制建立了由系统特征到系统稳定性的端到端的映射模型,实现了对暂态稳定的高精度评估。
3) 通过注意力热图可视化解释模型的决策过程,能够关注导致系统失稳的关键时间节点和特征,为调度员提供参考。
后续研究可以考虑在系统运行场景变化下如何结合Adapter技术等来微调Transformer模型使其保持评估精度,提高模型的实用性。
参考文献
[1]卓振宇,张宁,谢小荣,等.高比例可再生能源电力系统关键技术及发展挑战[J].电力系统自动化,2021,45(9):171-191.ZHUO Zhenyu, ZHANG Ning, XIE Xiaorong, et al.Key technologies and developing challenges of power system with high proportion of renewable energy[J].Automation of Electric Power Systems, 2021, 45(9): 171-191 (in Chinese).
[2]OBUZ S, AYAR M, TREVIZAN R D, et al.Renewable and energy storage resources for enhancing transient stability margins: a PDE-based nonlinear control strategy[J].International Journal of Electrical Power & Energy Systems,2020, 116: 105510.
[3]GNANAVIGNESH R, SHENOY U J.An improved relaxation based spatial domain decomposition method for parallel transient stability simulation[J].International Journal of Electrical Power & Energy Systems, 2022, 135: 107561.
[4]STOTT B.Power system dynamic response calculations[J].Proceedings of the IEEE, 1979, 67(2): 219-241.
[5]王伟胜,林伟芳,何国庆,等.美国得州2021年大停电事故对我国新能源发展的启示[J].中国电机工程学报,2021,41(12):4033-4042.WANG Weisheng, LIN Weifang, HE Guoqing, et al.Enlightenment of 2021 Texas blackout to the renewable energy development in China[J].Proceedings of the CSEE, 2021,41(12): 4033-4042 (in Chinese).
[6]胡源,薛松,张寒,等.近30年全球大停电事故发生的深层次原因分析及启示[J].中国电力,2021,54(10):204-210.HU Yuan, XUE Song, ZHANG Han, et al.Cause analysis and enlightenment of global blackouts in the past 30 years[J].Electric Power, 2021, 54(10): 204-210 (in Chinese).
[7]SHI Z T, YAO W, LI Z P, et al.Artificial intelligence techniques for stability analysis and control in smart grids: methodologies, applications, challenges and future directions[J].Applied Energy, 2020, 278: 115733.
[8]汤奕,崔晗,李峰,等.人工智能在电力系统暂态问题中的应用综述[J].中国电机工程学报,2019,39(1):2-13.TANG Yi, CUI Han, LI Feng, et al.Review on artificial intelligence in power system transient stability analysis[J].Proceedings of the CSEE, 2019, 39(1): 2-13 (in Chinese).
[9]ZHANG S T, ZHU Z X, LI Y.A critical review of name="ref10" style="font-size: 1em; text-align: justify; text-indent: 2em; line-height: 1.8em; margin: 0.5em 0em;">[10]温涛,张敏,王怀远.基于堆叠稀疏降噪自编码器的暂态稳定评估模型[J].电力工程技术,2022,41(1):207-212.WEN Tao, ZHANG Min, WANG Huaiyuan.Transient stability assessment model based on stacked sparse denoising autoencodern[J].Electric Power Engineering Technology, 2022,41(1): 207-212 (in Chinese).
[11]刘颂凯,袁铭洋,杨超,等.基于XGBoost和ASPSO的电力系统暂态稳定预防控制方法[J].电网与清洁能源,2023,39(10):9-18.LIU Songkai, YUAN Mingyang, YANG Chao, et al.A transient stability preventive control method of power systems based on XGBoost and ASPSO[J].Power System and Clean Energy, 2023, 39(10): 9-18 (in Chinese).
[12]SUN K, LIKHATE S, VITTAL V, et al.An online dynamic security assessment scheme using phasor measurements and decision trees[J].IEEE Transactions on Power Systems, 2007,22(4): 1935-1943.
[13]HU W, LU Z X, WU S, et al.Real-time transient stability assessment in power system based on improved SVM[J].Journal of Modern Power Systems and Clean Energy, 2019,7(1): 26-37.
[14]戴远航,陈磊,张玮灵,等.基于多支持向量机综合的电力系统暂态稳定评估[J].中国电机工程学报,2016,36(5):1173-1180.DAI Yuanhang, CHEN Lei, ZHANG Weiling, et al.Power system transient stability assessment based on multi-support vector machines[J].Proceedings of the CSEE, 2016, 36(5):1173-1180 (in Chinese).
[15]SIDDIQUI S A, VERMA K, NIAZI K R, et al.Real-time monitoring of post-fault scenario for determining generator coherency and transient stability through ANN[J].IEEE Transactions on Industry Applications, 2018, 54(1): 685-692.
[16]赵恺,石立宝.基于改进一维卷积神经网络的电力系统暂态稳定评估[J].电网技术,2021,45(8):2945-2954.ZHAO Kai, SHI Libao.Transient stability assessment of power system based on improved one-dimensional convolutional neural network[J].Power System Technology, 2021, 45(8):2945-2954 (in Chinese).
[17]GUPTA A, GURRALA G, SASTRY P S.An online power system stability monitoring system using convolutional neural networks[J].IEEE Transactions on Power Systems, 2019,34(2): 864-872.
[18]ZHU L P, HILL D J, LU C.Hierarchical deep learning machine for power system online transient stability prediction[J].IEEE Transactions on Power Systems, 2020, 35(3): 2399-2411.
[19]高昆仑,杨帅,刘思言,等.基于一维卷积神经网络的电力系统暂态稳定评估[J].电力系统自动化,2019,43(12):18-26.GAO Kunlun, YANG Shuai, LIU Siyan, et al.Transient stability assessment for power system based on onedimensional convolutional neural network[J].Automation of Electric Power Systems, 2019, 43(12): 18-26 (in Chinese).
[20]YAN R, GENG G C, JIANG Q Y, et al.Fast transient stability batch assessment using cascaded convolutional neural networks[J].IEEE Transactions on Power Systems, 2019,34(4): 2802-2813.
[21]孙黎霞,白景涛,周照宇,等.基于双向长短期记忆网络的电力系统暂态稳定评估[J].电力系统自动化,2020,44(13):64-72.SUN Lixia, BAI Jingtao, ZHOU Zhaoyu, et al.Transient stability assessment of power system based on Bi-directional long-short-term memory network[J].Automation of Electric Power Systems, 2020, 44(13): 64-72 (in Chinese).
[22]KIM J, LEE H, KIM S, et al.Real-time power system transient stability prediction using convolutional layer and long short-term memory[J].Journal of Electrical Engineering &Technology, 2023, 18(4): 2723-2735.
[23]杜一星,胡志坚,李犇,等.基于双向门控循环单元的电力系统暂态稳定评估[J].电力系统自动化,2021,45(20):103-112.DU Yixing, HU Zhijian, LI Ben, et al.Transient stability assessment of power system based on Bi-directional gated recurrent unit[J].Automation of Electric Power Systems, 2021,45(20): 103-112 (in Chinese).
[24]CHO K, VAN MERRIENBOER B, GULCEHRE C, et al.Learning phrase representations using RNN encoder–decoder for statistical machine translation[C]//Proceedings of the 2014 Conference on Empirical Methods in Natural Language Processing (EMNLP).Doha, Qatar, 2014.
[25]ZHANG S T, ZHANG D X, QIAO J, et al.Preventive control for power system transient security based on XGBoost and DCOPF with consideration of model interpretability[J].CSEE Journal of Power and Energy Systems, 2021, 7(2): 279-294.
[26]周挺,杨军,詹祥澎,等.一种数据驱动的暂态电压稳定评估方法及其可解释性研究[J].电网技术,2021,45(11):4416-4425.ZHOU Ting, YANG Jun, ZHAN Xiangpeng, et al. name="ref27" style="font-size: 1em; text-align: justify; text-indent: 2em; line-height: 1.8em; margin: 0.5em 0em;">[27]CHEN L K, GUAN L.Static information, K-neighbor,and self-attention aggregated scheme: a transient stability prediction model with enhanced interpretability[J].Protection and Control of Modern Power Systems, 2023, 8(1): 1-16.
[28]LIU C Y, LIU H, CHEN H, et al.Touchformer: a Transformerbased two-tower architecture for tactile temporal signal classification[J].IEEE Transactions on Haptics, 2023: 1-9.
[29]VASWANI A, SHAZEER N, PARMAR N, et al.Attention is all you need[J].Advances in Neural Information Processing Systems, 2017, 30: 1-11.
[30]VAN DER MAATEN L, HINTON G.Visualizing data using t-SNE[J].Journal of Machine Learning Research, 2008, 9(11):2579-2605.
Power System Transient Stability Assessment Based on Two-tower Transformer Model
ZHAO Chenhao1, JIAO Zaibin1*, LI Chenghao2, ZHANG Di2, ZHANG Penghui1
( 1.School of Electrical Engineering, Xi’an Jiaotong University, Xi’an 710049, Shaanxi Province, China;2.State Grid Henan Electric Power Corporation, Electric Power Research Institute, Zhengzhou 450052, Henan Province, China)
Abstract: style="font-size: 1em; text-align: justify; text-indent: 0em; line-height: 1.8em; margin: 0.5em 0em;">Keywords: power system; transient stability assessment;Transformer model; attention mechanism
文章编号:2096-5125 (2024) 05-0521-09
中图分类号:M732
文献标志码:A
DOI:10.19705/j.cnki.issn2096-5125.2024.05.005
基金项目:国家电网有限公司科技项目(5100-202124011A-0-0-00)。
Science and Technology Foundation of SGCC (5100-202124011A-0-0-00).
收稿日期:2024-03-22;修回日期:2024-05-30。

赵晨浩
作者简介:
赵晨浩(1995),男,博士研究生,研究方向为人工智能在电力系统中的应用,E-mail:kobe2488@stu.xjtu.edu.cn。
焦在滨(1976),男,教授,博士生导师,研究方向为电力系统继电保护、电力大数据分析等。通信作者,E-mail:jiaozaibin@mail.xjtu.edu.cn。
李程昊(1 9 8 8),男,博士,高级工程师,研究方向为电力系统建模与仿真分析,E-mail: eee-work@foxmail.com。
(责任编辑 翁宇威)