0 Introduction
Global energy demand is increasing drastically over the years owing to factors such as population growth and technological advancements,which are expected to persist.The need for energy to support the daily activities and economic development increases with the increase in the world’s population, alongside the accelerating pace of industrialization, which significantly increases the energy consumption [1].Renewable energy (RE) sources such as solar, wind, hydroelectric, geothermal, and biofuel are effective solutions that can sustainably meet this growing demand.These sources play a crucial role in reducing greenhouse gas emissions and mitigating climate change by providing a cleaner alternative to fossil fuels, which contribute significantly to environmental pollution and global warming [2].
Although fossil fuel systems present a high-yield energy solution and are deeply integrated into the global energy infrastructure, their usage incurs considerable environmental costs.These include carbon dioxide emissions,the release of other pollutants, and higher operating and maintenance costs.Additionally,they present various ecological and health-related concerns [3].Consequently,several governments worldwide are actively pursuing a transition to RE.For instance, Morocco has set an ambitious goal of meeting more than half of its energy demand from renewable sources by 2030.However, transitioning to RE is a complex process that requires addressing systemic challenges, such as energy production efficiency,the rebound effect, and the inertia of existing fossil fuel infrastructure [4].

The performance of RE varies across regions and is affected by factors such as resource availability and the local economic conditions [5].This study presents a comprehensive analysis of the energy,environmental,economic, and technical dimensions of a region in eastern Morocco.Achieving Morocco’s 2030 targets requires extensive research encompassing all regions of the country.Indeed,a thorough review of the literature reveals the lack of research work on the topic when compared with other regions.Semi-arid climates are one of the most prevalent climates in developing and underdeveloped regions.Table 1 presents a summary of the previous studies addressing some of these discussions.
In this study, we introduced a revolutionary approach to transform rural electrification by designing an off-grid hybrid energy system (HES) specifically tailored for the Ouled Saı¨d El-Arar region in Morocco’s Beni Snassen mountains,an area that is often overlooked despite its rich renewable potential.Previous studies have primarily focused on the coastal and desert regions, neglecting the unique combination of solar,wind,and biomass resources in mountainous areas [6-8]; consequently, this study addresses a critical research gap.The integration of multiple energy sources with advanced hybrid storage systems was not addressed in previous studies, resulting in limited solutions that struggle to achieve full self-sufficiency or balance the cost and sustainability [9,10,17].For instance,although some studies, such as [6,7], analyzed hybrid systems in northern and southern Morocco,they did not consider the specific climatic and economic challenges of mountainous regions, and [17] focused on hydrogen storage without fully leveraging the local biomass.The proposed system innovatively integrates the solar, wind, and biomass sources, supported by a hybrid storage solution that combines batteries and green hydrogen,using the grid as a backup to ensure reliability.In this study, we aim to develop a model that harmonizes clean energy production,economic viability, and environmental responsibility,aligning with Sustainable Development Goal 7 (SDG 7)and Morocco’s 2030 energy ambitions.We comprehensively evaluated the RE potential in this neglected region and provided a scalable framework for sustainable energy transitions.The findings of this study present considerable potential for reshaping national strategies and preventing the oversight of areas with untapped energy potential.
However,RE sources can be unreliable owing to significant and unexpected climate fluctuations, unlike fossil fuels, which present consistent energy despite their environmental and economic inefficiencies.This issue can be addressed by using multiple energy sources or by using RE combined with conventional systems to enhance reliability, such as using a diesel generator as a backup.Combining several energy sources helps in establishing a dependable energy system that is more environmentally and economically efficient than fossil fuel systems.This is known as an HES [5].
It is difficult to design an ideal HES since several factors must be considered, including the local energy demand,energy source compatibility, geographical location constraints, regional economic potential, and the purchasing power of the local residents.Several studies have been conducted on integrating energy sources to design systems that satisfy the analyzed loads, enhance compatibility between various energy sources, improve reliability,increase clean energy usage, encourage investment, and reduce the long-term costs of hybrid systems.
Table 1 Exploration of earlier research of various regions across Morocco.

Huayi W et al.[18] presented an advanced adaptive robust optimization model for efficiently managing hybrid battery energy storage systems (HBESSs) in zero-carbon microgrids.By optimizing the state-of-charge (SoC) planning and real-time dispatch, this model addressed uncertainties in RE generation and minimized the operational costs.They introduced a new outer-inner column-andconstraint generation algorithm that demonstrated strong resilience, computational efficiency, and cost-effectiveness in simulations.In [19], Kenji analyzed the crucial role of BESSs in enhancing the use of RE, focusing on their ability to serve multiple functions, such as load leveling and frequency regulation, to reduce costs.It is estimated that Japan will require 150-200 GWh of storage capacity by 2030.They also effectively combined various BESS applications and presented new developments, such as reusing old batteries.Furthermore, in [20], Oladimeji O et al.focused on the optimal design of independent microgrids incorporating RE, hydrogen storage, and diesel backup, considering various economic, environmental,and social factors.They compared the hydrogen storage systems with battery-based ones, demonstrating the advantages of hydrogen in terms of cost-effectiveness and sustainability for off-grid energy solutions.In [17], Furat D et al.analyzed the feasibility of stand-alone microgrids that are powered entirely by RE, using hydrogen as an energy storage medium.The results indicate that HBESSs present the most economical and sustainable solution for remote areas, reducing both the costs and emissions while supporting long-term energy independence.These studies demonstrate the crucial role of economic factors in the effective deployment and expansion of RE systems.By optimizing the storage options and reducing the operational costs, hybrid systems such as HBESS contribute to the development of affordable and sustainable energy,particularly in off-grid and remote locations.
Rakesh S et al.[21] analyzed the application of hydrogen storage in standalone wind-based microgrids to optimize the system components to reduce energy wastage and to improve the cost-effectiveness.It demonstrates the impact of wind resource variability on the storage requirements and emphasizes the role of hydrogen as a clean,sustainable energy carrier with versatile applications.Reyhaneh B et al.[22]focused on optimizing the microgrid operations by integrating RE, hydrogen storage, and microgas turbines, using machine learning to enhance real-time system management.They demonstrated the requirement for balancing economic efficiency with environmental sustainability and proposed strategies to effectively align both goals.Additionally, Muhammad AK et al.[23] introduced an optimal scheduling framework for a multi-energy microgrid that combines hydrogen,electric, thermal, and water systems, focusing on minimizing both the operational costs and emissions.This model integrates RE sources, electrolyzers, water desalination, and electric vehicles(EVs)with vehicle-to-grid technology,presenting significant reductions in the costs and emissions.Beyhan A et al.[24] focused on optimizing a hybrid RE microgrid that combines solar, wind, diesel, battery, and hydrogen storage to satisfy the residential energy demands.The results demonstrate that a system with RE of 68% is the most cost-efficient, which minimizes CO2 emissions and highlights the potential of hydrogen as a sustainable, low-emission energy solution.These studies demonstrated the crucial role of the environmental aspect,since RE systems, particularly those that incorporate hydrogen, are crucial for reducing emissions and enhancing sustainability.The use of hydrogen storage within these systems is crucial for reducing the carbon footprint and driving the transition to cleaner and more sustainable energy alternatives.
Babangida M et al.[25] analyzed the optimization of hybrid hydrogen and battery storage within gridconnected RE microgrids, emphasizing improvements in cost efficiency and operational reliability through tailored energy management strategies adapted to various electricity pricing models.The integration of hydrogen storage ensures long-term energy stability, enhances the grid performance, and supports sustainable practices by reducing the carbon emissions.Similarly, Abdin Z et al.[26] analyzed efficient hybrid RE systems for off-grid power supply and hydrogen production, incorporating solar, wind, and hydrogen technologies.They demonstrated the advantages of using hydrogen for long-term energy storage, with cost variations influenced by various regional conditions.Ensuring reliability is crucial for the smooth operation of RE systems.In [27,28], hybrid RE systems were analyzed by combining solar power and biomass for electrifying remote areas in Saudi Arabia to optimize the systems while minimizing the costs.Similarly, [29,30] focused on optimizing the solar-biomass systems in Egypt, one for a grid-connected village and the other for an off-grid farm microgrid, utilizing hybrid imperialist competitive optimization (HIWO) and particle swarm optimization(PSO), respectively.On a broader scale, [31,32] analyzed the optimization of hybrid renewable systems, balancing the cost-effectiveness and reliability amid grid instability and environmental challenges.Additionally, [33,34]enhanced the efficiency and reliability of hybrid systems,one using solar, wind, and hydrogen technologies for a university campus and the other combining photovoltaic(PV) and biomass systems for rural areas.[35,36] focused on optimizing off-grid hybrid systems, applying multiobjective particle swarm optimization (MOPSO) for biomass and fuel cells and the flower pollination algorithm(FPA)for PV and fuel cells,emphasizing the cost,reliability,and sustainability.Lastly, [37,38]analyzed sustainable energy solutions, including hybrid solar-battery systems for grid stability and water electrolysis for green hydrogen production, respectively.The incorporation of hydrogen storage enhances the grid performance, provides a reliable backup source of energy, and maintains a steady power supply, particularly in regions where RE sources exhibit variability.
Mariem D et al.[39] presented a peer-to-peer energy management system that reduced the energy costs in residential microgrids,employing a digital twin model to replicate and validate the performance of the platform.The model optimizes energy consumption for prosumers, both with and without storage systems, and promotes local energy trading.The findings demonstrated that this approach presents significant cost savings and improved profitability for the community by efficiently managing energy usage and optimizing battery storage.In[40],Tengfei M et al.reported a coordinated operation strategy for wind-PV-hydrogen-storage multi-agent energy systems to improve the integration and efficiency of RE.Their approach presented a substantial increase in operational revenue for the wind,PV,and energy storage agents,while reducing the costs for hydrogen by 16.75%.Additionally,they minimized the energy curtailment and ensured privacy protection using a distributed interactive algorithm,presenting improved performance and adaptability across various system structures.In [38], Ssadik C et al.designed and analyzed a test bench for power flow management in AC/DC hybrid microgrids using the per-unit system.The hybrid system comprised RE sources,energy storage units,and loads that were accurately modeled to emulate real microgrid conditions.The simulation results and performance analyses demonstrated the effectiveness of the proposed test bench for optimizing the power flow, ensuring stability, and enhancing the efficiency of decentralized and sustainable energy systems.Furthermore,in[41],Ying H et al.presented an optimal design and hierarchical management strategy for a hybrid island DC microgrid that combined the PV,hydrogen,and battery systems.This system employed HOMER Pro and an equivalent consumption minimization strategy (ECMS) to efficiently manage the energy flow, reduce fuel consumption, and improve stability.The simulation results demonstrated the effectiveness of the proposed approach in optimizing the performance of the hybrid microgrid.Efficient management contributes significantly to maximizing the performance of HESs.By implementing advanced strategies, such as peer-to-peer energy trading, coordinated operations, and hierarchical energy control, RE systems can be optimized for improved cost-effectiveness, stability, and efficiency.
Mountainous regions, such as the study area reported by Ouled Saı¨d El-Arar, account for approximately 25%of the total land area of Morocco, encompassing over 7 million inhabitants and representing 62% of the forest cover [42].This significant forest coverage demonstrates the potential for biomass-based energy systems, particularly due to the underutilization of this renewable resource in Morocco.Investing in HESs that integrate biomass with other renewable sources,such as solar and wind,presents a viable strategy for sustainable energy development in these regions.
The methodology proposed in this study can be adapted to other regions within and beyond Morocco, particularly those with similar topographic and climatic characteristics.For instance,mountainous areas constitute approximately 29% of Algeria’s territory, hosting more than 17% of its population [43], and approximately 30% of Tunisia’s land area, with forest cover accounting for approximately 12.6% of its territory [44].However, the applicability of this methodology is limited in countries with significantly different climatic and environmental conditions, such as Libya, Mauritania, and Egypt, where arid landscapes and minimal forest cover restrict the feasibility of biomass-dependent systems.Conversely, the proposed approach is suitable for various African nations with substantial forest cover and favorable wind speeds,presenting a scalable framework for sustainable electrification.
The remainder of this paper is organized as follows.Section 1 presents a detailed analysis of the energy resources and demand in the analyzed area, followed by a proposed energy system design based on these findings.Section 2 presents the results and discussion.Lastly, Section 3 presents the final observations and conclusion.
1 Materials and methods
In this study,we analyzed the economic and technological viability of an off-grid HES that integrates the solar,wind, and biomass energy sources for the electrification of remote rural areas, utilizing green hydrogen for energy storage.A specific village in eastern Morocco was selected for a case study, and the Homer Pro software, developed by the National Renewable Energy Laboratory, was used to simulate, design, and optimize HESs tailored to the specific location.We employed Homer Pro owing to its unique features, which are unavailable in other tools such as INSEL, which focuses solely on technical analysis, or RETScreen, which presents a quick but broad economic and environmental assessment [45].The HOMER Pro package can optimize the system configurations, conduct sensitivity analyses, and enable designers to make informed decisions by minimizing the energy costs while satisfying the load supply requirements [29].Designing an optimal hybrid system requires detailed knowledge of the region’s climatic conditions and an in-depth analysis of the local energy consumption patterns.The steps involved in the design of the proposed system are presented below.
1.1 Design of the optimal hybrid energy system
We proposed an HES that integrates PV panels, wind turbines, and biomass as the primary renewable sources,combined with a hybrid storage solution that includes lithium-ion batteries for short-term needs and green hydrogen for long-term energy storage.The system is optimized to maximize the renewable fraction (RF) and minimize the levelized cost of energy(LCOE),with the national grid serving only as a backup under extreme or emergency conditions, as shown in Fig.1.
Unlike conventional off-grid systems that typically rely on diesel generators or a single renewable source, the proposed design presents a more resilient and sustainable alternative.In this section, we present a detailed description of the technical specifications and configuration of each component used in the system modeling process.

Fig.1.Schematic of the proposed hybrid energy system for the analyzed area.
1.1.1 Photovoltaic (PV) modeling
The abundant solar radiation in the analyzed region presents a valuable opportunity for harnessing and converting it into electrical energy using solar panels.The amount of power generated by a solar panel is calculated as follows [46-48]:
where SG denotes the sun’s radiation on a global scale(W/m2), APV denotes the PV generator surface area (m2),and ηPV denotes the conversion efficiency, which is given by (2):

where β denotes the temperature index for silicon PV cells that remains constant, ηe denotes the reference efficiency for solar modules, TC denotes the temperature of the PV cell
, TCref denotes the standard temperature for solar cells
, Tadenotes the ambient temperature
, and TNOCT denotes the standard operating cell temperature (
C).
The total energy generated by the solar panels can be calculated as follows:

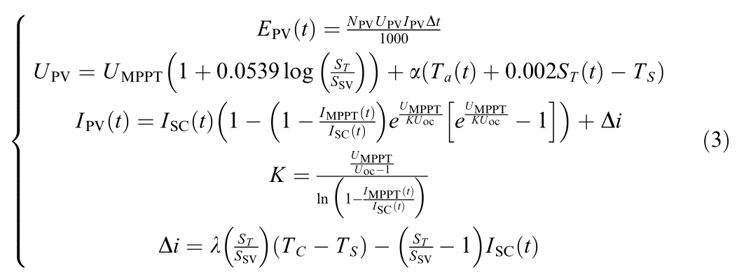
where NPV denotes the quantity of PV modules, IPV denotes the current output of the solar PV mechanism,UPV denotes the voltage output of the solar PV mechanism, and Δt denotes the 15 min (1560) second step time.UMPPT denotes the voltage at the point of peak power(V), and α denotes the voltage temperature coefficient of the module
.TS denotes the BP350 solar panels, and ST denotes the total solar radiation on the tilted panel (W/m2).SSV denotes the standard radiation value(1000 W/m2),and Ta t denotes the temperature’s variable.ISC t denotes the short-circuit current (A), and IMPPT t denotes the current at the point of peak power (A)Uoc denotes the open-circuit voltage(V),and λ denotes the current temperature coefficient
.
In this study, we selected the Canadian Solar Max-Power CS6U-330P solar panels, presenting a module effi-ciency of 16.97%, a temperature coefficient of
C,and an operating temperature of
.Table 2 presents a comprehensive overview of their specifications.
Table 2 Technical specifications of the analyzed system.

1.1.2 Wind turbine modeling
We derived a mathematical model for the wind energy system based on the wind turbine profile.Using the fitting curve method, the proposed model governs the performance of wind turbines, as described in [49].The power output and energy generated by wind turbines can be calculated as follows:

where NWT denotes the number of wind turbines, PWT denotes the power output of the wind turbine, W denotes the wind turbine’s mechanical speed, V out denotes the break-out speed, V in denotes the break-in speed, and P,R, and C denote the coefficients of the characteristic equations.
In this study,we employed the Eocycle EO25 Class IIA wind turbine from Eocycle Company.It presents a peak power output of 25 kW, a hub height of 30 m, a rotor diameter of 12.6 m, a cut-in wind speed of 3.5 m/s, a cut-out wind speed of 25 m/s,and an estimated service life of 20 years, as shown in Table 2.
1.1.3 Biomass modeling
The energy generated per hour by the biomass system is calculated as follows [50]:
where ηBdenotes the overall efficiency of the biomass generator, CVB denotes the calorific value of biomass (kcal/kg) used to convert kcal to kWh (1 kcal is equivalent to 860 kWh), Δt denotes the duration of biomass generator energy operation within a day, and HB denotes the daily operational hours of the biomass generator power.
We employed a biomass generator with a capacity of up to 1000 W in this study.It operates on an AC electrical bus, with a lower heating value of 5.5 MJ/kg, a minimum load ratio of 20%,and a lifetime of 15000 h.The generator has a CPH recovery ratio of 0%, as shown in Table 2.
1.1.4 Converters
Converters are a crucial component in the design of energy systems, providing flexibility and enabling the seamless transfer of energy between the AC and DC buses.This capability is crucial for supporting the integration and diversification of RE resources (RERs).Converters serve as the central element of the system and play a significant role in enhancing the overall efficiency.In this study,we employed the DPSTM-250 converter, which operates with an efficiency of 98.2% and has a lifespan of 15 years.The converter supports a power rating ranging from 550 to 1500 Vdc and a maximum DC current of 450 A,as shown in Table 2, while maintaining a relative capacity of 100%.The power output from a converter is calculated as follows[6]:
where Pin denotes the power input of the converter and ηconv denotes the efficiency of the converter.
1.1.5 Battery bank modeling
A lithium-ion battery with a nominal voltage of 48 V,capacity of up to 300 Ah, round-trip efficiency of 96%,maximum charge rate of 0.32 A/Ah, and a maximum charge and discharge current of 95 A was used to store the surplus energy in the proposed system, as shown in Table 2.Its energy storage capacity can be calculated as follows [51]:

where EBatt t denotes the storage of the battery (kWh),and δdenotes the hourly self-discharging rate of the battery.EPV t ,EWT t ,and EB t denote the excess generation of the PV system, wind, and biomass generators after fulfilling the energy demand,respectively.(kWh).ηBC denotes the efficiency of the battery during charging, and ηBD denotes the discharging rate of the battery.ηconv denotes the efficiency of the converter, EL t denotes the total energy demand, and Er t denotes the energy required to meet the load demand, which was not satisfied by renewable generation.
1.1.6 Green hydrogen storage system modeling
We integrated a hybrid storage system that combines batteries and green hydrogen, presenting a fully sustainable and environmentally friendly energy storage solution.The hydrogen storage system comprises three essential components: the electrolyzer, the hydrogen tank, and the fuel cell.The electrolyzer converts water into hydrogen,which is stored in a hydrogen tank, and oxygen, which can be stored and then sold to industrial facilities,donated to hospitals, or both.The fuel cell serves a critical role by transforming the stored hydrogen back into electrical energy [18,50,52-54].The functionality of the proposed system is evaluated using several key equations.Eq.(9)calculates the output power of the fuel cell;Eq.(10)determines the power transferred from the electrolyzer to the hydrogen storage tank; Eq.(11) measures the output energy stored by the hydrogen tank; and Eq.(12) quantifies the mass of stored hydrogen [55].

where ηFC denotes the efficiency of the fuel cell, and PTank FC denotes the output power of the fuel cell, ηelec denotes the electrolyzer efficiency, which was assumed to be constant.ηst denotes the efficiency of hydrogen storage as approximately 95%for all the operating conditions,and HHVH2 denotes the hydrogen storage higher-heating value, which was considered to be 38.9 kWh/kg [56].
The limits of the lower and upper portions of the hydrogen storage are defined as follows:
In this study, we employed an electrolyzer with a lifetime of 15 years,an efficiency of 85%,and a minimum load ratio of 0%.We considered four electrolyzer capacities:0 kW, 300 kW, 600 kW, and 900 kW.The optimization results determined that a 600 kW electrolyzer is the optimal choice for this case.Additionally, we employed a hydrogen storage tank with a lifetime of 25 years.We analyzed various tank sizes, including 0 kg, 200 kg, 300 kg,and 400 kg, with optimization identifying 300 kg as the most suitable size.Furthermore, we integrated a fuel cell with a capacity of 100 kW, a lifetime of 15,000 h, and a minimum load ratio of 0% into the system, as shown in Table 2.
1.2 The study area
The selected study area, Ouled Saı¨d El-Arar, is a rural village located in the Souk El Had district within the Beni Snassen mountain range in eastern Morocco(coordinates:
41.85 N,
12.55 W), as shown in Fig.2.This region experiences an average annual temperature of
.Fig.3 depicts the monthly average temperature distribution throughout the year.
A thorough understanding of the local climatic conditions is crucial for the effective design of the HES, since environmental factors such as the temperature and solar irradiance significantly affect the performance and effi-ciency of its components.
1.3 Renewable resources estimation
The Ouled Saı¨d El-Arar area was selected as a study area owing to its abundance of energy resources.This section presents an in-depth evaluation of the energy resources available in this region.

Fig.2.Location of the study area.

Fig.3.Average monthly
1.3.1 Solar radiation
The study location experiences a high amount of solar radiation.Fig.4 depicts the monthly variations in the daily solar radiation, with July reaching a peak of 7.3 kWh/m2/day and December recording the lowest value at 2.73 kWh/m2/day.The average annual solar radiation rate is estimated at 4.78 kWh/m2/day.These figures are derived from the 22-year solar radiation dataset established by NASA (1983-2005),which ensures the accuracy and reliability of the results.
1.3.2 Wind speed
The study area experiences notable wind speeds that are well-suited for energy generation.At a height of 30 m,the peak average wind speeds were observed in January and December, reaching 5.32 m/s, whereas the lowest average speed, 3.68 m/s, was recorded in August.These results are derived from 30 years of wind speed data (1984-2013)sourced from NASA,as shown in Fig.5,which outlines the monthly average wind speeds.
1.3.3 Biomass resources

Fig.4.Monthly variations in daily solar radiation (kWh/m2/day).

Fig.5.Monthly average wind speed of the studied area (m/s).
The Ouled Saı¨d El-Arar area lies within an extensive juniper forest,from which it derives its name,since‘‘Arar”translates to juniper in Arabic.The area is widely known for its conventional charcoal production.The local inhabitants burn tree leaves, firewood,and animal dung to generate heat for creating charcoal, which is then buried underground and stored for heating during the colder months.This process is repeated annually.Data was collected from the residents of the area to determine the share of leaves and wood available for bioenergy production.The recovery factor is calculated at 0.7,as shown in Tables 3 and 4.Additionally, 1 kg of animal dung can yield 0.36 m3 of biogas, and 0.73 m3 of biogas equals 1 kWh of energy [46].
1.4 Energy demand estimation
Developing an energy system for the area requires a thorough analysis of its energy requirements.The evaluation encompassed 857 houses,three mosques,four schools,and a dispensary, with the total estimated daily energy demand reaching approximately 16.9 MWh.Table 5 presents a detailed overview of the energy consumption requirements of the region.
Table 3 Sources of plant biomass used in this study.

1.5 Hybrid system optimization
In this study, we aim to design an energy system tailored to the geographical and climatic conditions of the area by achieving three main goals: producing clean, reliable, and affordable energy.The focus will be on these goals to optimize the proposed system.
1) System reliability optimization:
To establish a reliable energy system, the grid is integrated as a supplementary source to address system failures, unexpected breakdowns, or unforeseen spikes in the energy demand.However, this study focuses on maximizing the efficiency of RE components and on eliminating the reliance on the grid.The RF is used to evaluate the share of electricity generated from renewable resources.An RF value of 100% indicates that all the electricity is produced from renewable resources without depending on the grid.Achieving this target ensures the dual benefits of sustainable and reliable energy.The RF is calculated as follows [57]:

where PR t denotes the power produced by RE sources adopted in the system, and PL t denotes the power of the load demand.
2) Optimizing the economic aspect:
To achieve the objective of producing economically viable energy (affordable energy), the NPC and LCOE must be analyzed as follows [58,59]:

Table 4 Electricity potential from biomass from the Ouled Saı¨d El-Arar area.

Table 5 Energy needs estimation for the Ouled Saı¨d El-Arar area.

where Cann tot denotes the total cost on an annual basis (in$/yr), CRF denotes the function returning the capital recovery factor,and Cann cap denotes the annualized capital(in$/yr).Cann O M denotes the maintenance costs of all the components of the system (in $/yr), Cann rep denotes replacement cost(in$/yr),and Cann fuel denotes the annualized cost of fuel required to feed the power generators (in$/yr); in this case, it represents the cost of purchasing animal dung from the locals and the cost of collecting tree leaves and wood.Cann salv denotes the annualized total salvage value of all the system components (in $/yr), and f denotes the discount rate.y denotes the project lifespan,d denotes the annual inflation, and i denotes the nominal interest.Iie denotes the investment expenditures amount($), and Ai denotes the cost of the total expenditure in the year‘t.’Xel denotes the amount of electricity generated within a specific year,and t denotes the year(1,2,n).
3) Optimizing the environmental aspect
The designed system prioritizes the minimization of greenhouse gas emissions and aims to achieve net-zero emissions.Currently, approximately 60% of the region is electrified via the grid, while the remaining 40% relies on diesel generators to meet their energy demands.This dependence significantly exacerbates the emission levels in the area.These emissions can be calculated as follows[60]:
where Semission denotes the magnitudes of the pollutant gas emissions, m denotes the number of different types of pollutant gas, θx denotes the intensity of emission, and Gsub denotes the generated power of the substation.
2 Results and discussions
The system design was simulated and optimized using HOMER Pro.The optimization process involved specifying key input parameters, including renewable resource availability (solar radiation, wind speed, and biomass potential), load demand, system components (PV panels,WTs, biomass generators, batteries, hydrogen storage,and converters), and economic constraints.In Subsection 2.1, we present the following simulation results: optimization outputs, power generation efficiency, storage system performance, and economic analysis.Further discussions are presented in Subsection 2.2.
2.1 Results
2.1.1 Power generation system
The findings demonstrate that the most efficient energy distribution for the region’s climatic conditions involves sourcing 9.97% of the energy from solar panels, 41.9%from biomass, and 48.1% from wind turbines.Fig.6 depicts the daily power generation by solar panels, with a peak output of 5655 kWh/day.Over the span of one year, the solar energy contributes to an estimated total of 2063953 kWh, corresponding to a capacity factor of 18.5% and an energy cost of 0.0287 $/kWh.Additionally,solar panels can operate for approximately 4385 h annually, which is equivalent to nearly 182.7 days, highlighting the abundant solar radiation in the area.
Fig.7 depicts the power production of wind turbines throughout the year, with the maximum output reaching 6972 kW and the minimum dropping to 0 kW.The average power output is approximately 1138 kW, and the annual energy generation is estimated at 9967844 kWh,at an energy cost of 0.0276 $/kWh.Further analysis indicates that under the region’s climatic conditions,wind turbines can operate for approximately 5528 h annually,with a capacity factor of 16.3%.This operational time is equivalent to roughly 230.3 days in a year, or over seven months, demonstrating the considerable wind energy potential of the area.

Fig.6.Annual variation of the power output of the solar panels.

Fig.7.Annual evaluation of the power output of the wind turbines.
Fig.8 depicts the annual power generation from biomass.The data clearly demonstrate that biomass consistently reaches its peak energy output of 1000 kW,achieving a capacity factor of 99%.This operation requires the annual consumption of approximately 26019 tons of organic material, presenting an energy production of 8673000 kWh/year.
These findings indicate that the study area contains vast untapped energy resources.Thus, this study presents an additional advantage since it focuses on a region with significant energy potential that has been overlooked.
2.1.2 Storage energy system
We incorporated a total of 605 48 V batteries into the storage system, with a nominal capacity of 8712 kWh and an expected lifespan of 20 years.The evaluations indicate that the batteries receive an annual input of 233774 kWh and deliver an output of 224443 kWh/year,presenting annual losses of 9351 kWh.Fig.9 depicts the charge status of the batteries over 365 days.
The excess energy is converted into hydrogen through a fuel cell for storage.We used a hydrogen tank with a maximum capacity of 300 kg of hydrogen, which is equivalent to 10000 kWh of energy.Fig.10 depicts the variations in hydrogen storage throughout the year.The analysis indicates that approximately 274 kg of hydrogen can be stored by the end of the year.Fig.11 depicts the fluctuations in the power input to the electrolyzer over the year.The electrolyzer has a capacity of 600 kW with an average power input of 408 kW.The maximum power input reaches 600 kW,and the minimum is 0 kW.The total energy input is 3570573 kWh/year,with a capacity factor of 67.9%.The electrolyzer can produce up to 12.9 kg of hydrogen per hour at its peak and 0 kg/hour at its lowest.The average production is approximately 8.78 kg/hour, producing 76943 kg of hydrogen annually.

Fig.8.Biomass power output over the year.
2.2 Discussions
2.2.1 Energy aspect
The results demonstrate a seamless integration of energy sources, ensuring that the region’s energy needs are consistently met, even in the absence of one of the sources.Solar energy is unavailable from approximately 6:00 PM to 7:00 AM, as shown in Fig.6.However, wind and biomass energy production effectively compensate for this gap, as shown in Figs.7 and 8.Fig.8 clearly depicts the continuous operation of biomass energy throughout the year, operating at its maximum capacity,as indicated by the red shading, with the occasional black spots representing the maintenance periods.Notably,during the period when biomass production is reduced, solar energy generation reaches its peak,as shown in Fig.6.This demonstrates the efficiency and synergy of the proposed system in terms of the energy production.

Fig.9.State of charge of the battery bank.

Fig.10.Evaluation of the amount of hydrogen stored in a year.

Fig.11.Variation of the amount of power input to the electrolyzer over a year.
Figs.9 and 10 clearly show that the energy demand never exceeded the capacity of the storage system.A closer analysis of the remaining figures reveals that the grid was not conducted,despite being included in the proposed system.The results further indicate a 100% RF, confirming that the system is entirely self-sufficient and capable of meeting the energy load without reliance on an external backup source.This is supported by the data in Figs.9 and 10, which demonstrate that both the batteries and hydrogen storage remain consistently charged and available.Consequently, the system ensures a fully sustainable and reliable energy supply,rendering the grid unnecessary as an alternative source.
The results of the power generation system demonstrate the effectiveness of the proposed solution in meeting the energy requirements of the region.This efficiency is attributed to the diversity of the available RE sources, which presents several options for designing HESs.An optimal system can be developed by leveraging all the available resources to produce clean, accessible energy.These findings demonstrate the significance of analyzing and determining new areas to expand the RER map, ultimately enhancing the energy flexibility of the country.
2.2.2 Economic aspect
The LCOE is a critical factor in evaluating the efficiency of an energy system,since it must be produced at the lowest feasible cost to ensure affordability for the end users.In this context,the purchasing power of the residents must be considered alongside the region’s overall economic capacity, including both the citizens and local investors.The analysis shows that, although the proposed system achieves superior energy production costs,it does not rank highest in the net present cost.Table 6 presents a comparison with 10 alternative systems, which demonstrates that the proposed design successfully delivers energy at a competitive and accessible price.
2.2.3 Environmental aspect
Table 7 summarizes the annual greenhouse gas emissions generated by the proposed energy system,along with comparative analyses against other systems.Although the proposed system is not the most environmentally optimal,it exhibits superior performance in minimizing emissions when compared with many alternatives.Although it does not entirely eliminate the emissions, it achieves significant reductions, including the complete elimination of sulfur dioxide emissions.The table also presents a comparisonwith the current energy production scenario in the analyzed area, based on an evaluation of emissions from the generators that are currently being used.The results indicate that the proposed system can significantly reduce emissions, with reductions of over 99.79% in carbon dioxide (CO2), more than 96.37% in carbon monoxide (CO),approximately 97.42% in unburned hydrocarbons(UHCs), 98% in particulate matter (PM), 100% in sulfur dioxide (SO2), and nearly 98.53% in nitrogen oxides(NOX).These findings demonstrate that the proposed system successfully achieves its three primary objectives:providing energy that is clean, reliable, affordable, and sustainable.
Table 6 Economic comparison of hybrid energy systems.

Table 7 Comparison of gas emissions between ten different energy systems.

2.2.4 Broader implications and methodological alternatives
Alternative simulation tools and optimization techniques can be employed to replicate or enhance the proposed methodology.Software platforms such as Hybrid2,iHOGA,or INSEL facilitate the design and optimization of HESs.Additionally, metaheuristic optimization algorithms, including those based on swarm behavior (e.g., PSO), human or social dynamics, artificial intelligence, machine learning, physics, natural phenomena, or biological and genetic evolution, can be utilized.The HOMER Pro software, for instance, leverages a hybrid optimization algorithm combining PSO and genetic algorithms to achieve efficient system configurations [61-67].These advanced computational approaches enable precise system designs tailored to specific regional conditions, thereby enhancing the reliability, cost-effectiveness,and sustainability of the HESs.
3 Conclusion
In this study, we analyzed the significant energy potential of remote areas that are often overlooked to enhance Morocco’s clean energy production.We conducted a comprehensive statistical analysis of the RE sources in the region,utilizing 22 years of solar data and 30 years of wind data, along with a field visit to evaluate the biomass resources.The findings indicate that these areas possess considerable untapped energy potential.Additionally, we performed a detailed analysis of the energy demand of the area to design an HES that leverages all the available resources.The proposed system integrates solar, wind,and biomass energy as the primary sources to satisfy energy demand,with batteries and green hydrogen serving as hybrid storage solutions and the grid functioning as a backup.The results demonstrate that the proposed can operate independently of the grid while maintaining reliability.This system presents an optimal solution for achieving clean, reliable, and affordable energy.Furthermore, the findings indicate that the system could be applied to neighboring regions or areas with similar climatic conditions.
CRediT authorship contribution statement
Anouar Makhoukh: Software, Methodology, Writing -original draft, Conceptualization.Abdelbari Redouane:Supervision.Norddine Oubouch: Formal analysis, Writing- review & editing.Abdennebi El Hasnaoui: Validation,Supervision.
Declaration of competing interest
The authors declare that they have no known competing financial interests or personal relationships that could have appeared to influence the work reported in this paper.
Acknowledgements
This study was supported by CPS2E Laboratory,National Higher School of Mines of Rabat.
References
[1]W.Peng, D.Ershun, Z.Ning, et al., Power system planning with high renewable energy penetration considering demand response,Global Energy Interconnect.4 (1) (2021) 69-80.
[2]V.C.Nelson, Introduction to renewable energy, CRC Press, 2011.
[3]A.Muhammad, H.S.Hamad, F.Anaiz Gul, et al., Hydrogen production through renewable and non renewable energy processes and their impact on climate change, Int.J.Hydrogen Energy 47(77) (2022) 33112-33134.
[4]R.Stephen, L.Erik, M.Azadeh, The inefficiencies of energy efficiency: reviewing the strategic role of energy efficiency and its effectiveness in alleviating climate change, J.Settl.Spatial Plann.SP 5 (2016) 77-87.
[5]M.Anouar,A.Redouane,O.Norddine,et al.,Energy demand and resources assessment for a solar and wind hybrid energy system in Southern Morocco, 2023 IEEE PES/IAS PowerAfrica, 2023.
[6]E.Abdellah, D.Mohammed, A.Rachid, Techno-economic analysis of a PV/WT/biomass off-grid hybrid power system for rural electrification in northern Morocco using HOMER, Renew.Energy 231 (2024) 120904.
[7]O.Norddine, R.Abdelbari, M.Anouar, et al., Optimization and design to catalyze sustainable energy in Morocco’s Eastern Sahara:a hybrid energy system of PV/Wind/PHS for rural electrification,Cleaner Energy Syst.9 (2024) 100141.
[8]A.Salah-Eddine, A.M.Ahmed, T.Samir, et al., A multi-scenario site suitability analysis to assess the installation of large scale photovoltaic-hydrogen production units.Case study: Eastern Morocco, Energ.Conver.Manage.295 (2023) 117615.
[9]E.Sara, O.Fakher, H.Othmane, et al., Techno-economic feasibility and performance analysis of an islanded hybrid renewable energy system with hydrogen storage in Morocco, J.Storage Mater.295 (2024) 117615.
[10]A.Allouhi, S.Rehman, M.Krarti, Role of energy efficiency measures and hybrid PV/biomass power generation in designing 100%electric rural houses:a case study in Morocco,Energy Build..236 (2021) 110770.
[11]H.Mohamed,F.M’barek,C.Adil,et al.,Assessment of the energy production of a hybrid PV/T collector based on different fluids for Agadir climate, Renew.Energy 227 (2024) 120567.
[12]O.Ilham, N.Nouhaila, A.Souad, et al., Assessment of green hydrogen production in Morocco, using hybrid renewable sources(PV and wind), Int.J.Hydrogen Energy 48 (96) (2023) 37428-37442.
[13]B.Hanane, R.Abdelbari, E.Imad, et al., Techno-economic feasibility study of a hybrid biomass/PV/diesel/battery system for powering the village of Imlil in High Atlas of Morocco, 2018 9th International Renewable Energy Congress (IREC), 2018.
[14]G.Rajae, R.Abdelbari, A.Prince, et al., Techno economic optimization of hybrid wind and marine current turbine connected to the grid - A case study in Ksar Sghir, Morocco,Proceedings of the 4th International Conference on Smart City Applications,2019.
[15]E.Abdellah,D.Mohammed,A.Rachid,Hydrogen production for SDG 13 using hybrid renewables energies in southern Morocco,Energy (2025) 134986.
[16]O.Norddine, R.Abdelbari, M.Anouar, et al., Design,optimization, and environmental analysis of hybrid energy systems for integration in remote villages: a case study in Morocco, 2024 IEEE PES/IAS PowerAfrica, 2024.
[17]D.Furat,G.M.Shafiullah,A.Martin,Stand-alone microgrid with 100%renewable energy:a case study with hybrid solar PV-batteryhydrogen, Sustainability 12 (2020) 2047.
[18]W.Huayi, X.Zhao, J.Youwei, Optimal hydrogen-battery energy storage system operation in microgrid with zero-carbon emission,Global Energy Interconnect.7 (5) (2024) 616-628.
[19]I.Kenji, Massive energy storage system for effective usage of renewable energy, Global Energy Interconnect.5 (3) (2022) 301-308.
[20]O.Oladimeji, N.Nnamdi, J.O.Ewaoche, Multi-objective optimal sizing and design of renewable and diesel-based autonomous microgrids with hydrogen storage considering economic,environmental, and social uncertainties, Renew.Energy 231(2024) 120987.
[21]S.Rakesh, D.Pradip, S.M.Srinivasa, Application of hydrogen storage in polygeneration microgrids:case study of wind microgrid in India, Energy 311 (2024) 133331.
[22]B.Reyhaneh, S.F.Fredrik, A.Mohsen, Techno-economic optimization of microgrid operation with integration of renewable energy, hydrogen storage, and micro gas turbine,Renew.Energy 237 (2024) 121708.
[23]A.K.Muhammad, R.Talha, K.Hak-Man, Optimal operation of hydrogen-based multi-energy microgrid integrating water network and transportation sector,Int.J.Hydrogen Energy 97(2025)501-515.
[24]A.Beyhan,S.G.Mustafa,Optimization of electricity and hydrogen production with hybrid renewable energy systems,Fuel 324(2022)124465.
[25]M.Babangida, A.Md Pauzi, A.Abdulrahman, et al., The role of hybrid hydrogen-battery storage in a grid-connected renewable energy microgrid considering time-of-use electricity tariffs, J.Storage Mater.105 (2025) 114729.
[26]Z.Abdin, W.Me´rida, Hybrid energy systems for off-grid power supply and hydrogen production based on renewable energy: a techno-economic analysis, Energ.Conver.Manage.196 (2019)1068-1079.
[27]M.S.Mohamed, H.H.Sarhan, B.Shimaa, et al., A hybrid PVbiomass generation based MicroGrid for the irrigation system of a major land reclamation project in Kingdom of Saudi Arabia(KSA)-Case study of Albaha Area,2018 IEEE International Conference on Environment and Electrical Engineering and 2018 IEEE Industrial and Commercial Power Systems Europe, 2018.
[28]A.Nahar,M.S.Mohamed,A.Johnson,Optimal economic analysis study for renewable energy systems to electrify remote region in Kingdom of Saudi Arabia, in: 2018 Twentieth International Middle East Power Systems Conference (MEPCON), 2018, pp.1040-1045.
[29]H.H.Sarhan, M.S.Mohamed, B.E.Magdy, et al., Viability study of grid connected PV/Wind/Biomass hybrid energy system for a small village in Egypt, in: 2016 Eighteenth International Middle East Power Systems Conference, 2016, pp.46-51.
[30]M.S.Mohamed, B.Shimaa, Hybrid Invasive weed optimization -Particle swarm optimization algorithm for biomass/PV micro-grid power system.hybrid invasive weed optimization- Particle swarm optimization algorithm for biomass/PV micro-grid power system,in:2019 21st International Middle East Power Systems Conference(MEPCON), 2019, pp.377-382.
[31]M.S.Mohamed,I.M.Mohamed,F.E.Mohamed,et al.,Reliability support of undependable grid using green energy systems:economic study, IEEE Access 9 (2021) 14528-14539.
[32]M.Charafeddine, N.Belkhir, S.Noureddine, et al., Design optimization of off-grid hybrid renewable energy systems considering the effects of building energy performance and climate change: case study of Algeria, Energy 219 (2021) 119605.
[33]M.B.Eteibaa, B.Shimaa, M.S.Mohamed, et al., Optimization of an off-grid PV/Biomass hybrid system with different battery technologies, Sustain.Cities Soc.40 (2018) 713-727.
[34]F.T.Ahmad, M.S.Mohamed, B.Shimaa, A techno-economic feasibility analysis of an autonomous hybrid renewable energy sources for university building at Saudi Arabia, J.Electr.Eng.Technol.15 (2020) 2519-2527.
[35]M.S.Mohamed, I.E.Heba, B.Shimaa, Multi-objective optimization of hybrid renewable energy system based on biomass and fuel cells, Int.J.Energy Res.45 (6) (2020)8214-8230.
[36]M.S.Mohamed, B.Shimaa, H.S.Ramadan, A flower pollination optimization algorithm for an off-grid PV-fuel cell hybrid renewable system, Int.J.Hydrogen Energy 44 (4) (2019) 2141-2152.
[37]F.G.Aykut, Y.Nuran, M.S.Mohamed, Design optimization of a stand-alone green energy system of university campus based on Jaya-Harmony search and ant colony optimization algorithms approaches, Energy 253 (2022) 124089.
[38]C.Ssadik,E.C.Houssam,E.Mehdi,et al.,Bench testing for power flow management in AC/DC hybrid microgrids using per-unit system:study and design,IFAC-PapersOnLine 58(13)(2024)552-557.
[39]D.Mariem, S.M.Sondes, S.B.Ilhem, A digital twin model-based approach to cost optimization of residential community microgrids, Global Energy Interconnect.7 (1) (2024) 82-93.
[40]M.Tengfei, P.Wei, Y.Yanhong, et al., A coordinated operation method of wind-PV-hydrogen storage multi-agent energy system,Global Energy Interconnect.7 (4) (2024) 446-461.
[41]H.Ying,Z.Guorui,L.Qi,et al.,Hierarchical energy management for PV/hydrogen/ battery island DC microgrid, Int.J.Hydrogen Energy 44 (11) (2019) 5507-5516.
[42]Economic,Social and Environmental Council.Rural development:For a new impetus for mountainous areas, 2020.
[43]General Directorate of Forests.Note on mountainous areas in Algeria.Ministry of Agriculture and Rural Development, 2020,December 11.
[44]Al Jazeera Net.Atlas Mountains, 2015, November 30.
[45]S.Sunanda, S.S.Chandel, Review of software tools for hybrid renewable energy systems, Renew.Sustain.Energy Rev.32 (2014)192-205.
[46]T.K.Pascalin, A.M.N.Brigitte, C.Victorin, et al., Technoeconomic feasibility of a PV/battery/fuel cell/electrolyzer/biogas hybrid system for energy and hydrogen production in the far north region of cameroon by using HOMER pro, Energ.Strat.Rev.44(2022) 100988.
[47]O.A.Timothy,A.Evans Chinemezu,J.M.Muncho,et al.,Technoeconomic modeling and optimal sizing of autonomous hybrid microgrid renewable energy system for rural electrification sustainability using HOMER and grasshopper optimization algorithm, Renew.Energy 229 (2024) 120712.
[48] B.Shimaa, A.Emam, M.M.Samy, Investigating grid-connected green power systems’ energy storage solutions in the event of frequent blackouts, Energy Rep.8 (2022) 5177-5191.
[49]A.B.Kanase-Patil, R.P.Saini, M.P.Sharma, Sizing of integrated renewable energy system based on load profiles and reliability index for the state of Uttarakhand in India,Renew.Energy 36(11)(2011) 2809-2821.
[50]S.Vendoti, M.B.Muralidhar, R.Kiranmayi, Modelling and optimization of an off-grid hybrid renewable energy system for electrification in a rural areas, Energy Rep.6 (2020) 594-604.
[51]M.Shubhangi, S.Gaurav, C.Anurag, et al., Optimal sizing and assessment of grid-tied hybrid renewable energy system for electrification of rural site, Renew.Energy Focus 44 (2023) 259-276.
[52]C.O.Paul, C.N.Samuel, B.El Manaa, et al., Technical and economic feasibility assessment for hybrid energy system electricity and hydrogen generation: a case study, Global Energy Interconnect.(2025).
[53]Y.Bo,L.Boxiao,W.Shaocong,et al.,Optimal power extraction of PV-TEG hybrid system via fitness-distance-balance-based beluga whale optimization, Global Energy Interconnect.(2025).
[54]M.R.Mohamed, I.E.Mohamed, M.A.M.Hassan, Enhancing microgrid renewable energy integration at SEKEM farm, Global Energy Interconnect.7 (6) (2024) 761-772.
[55]E.Abdellah, D.Mohammed, A.Rachid, Optimal design and techno-economic analysis of a solar-wind hybrid power system for laayoune city electrification with hydrogen and batteries as a storage device,Phys.Chem.Earth,Parts A/B/C 136(2024)103719.
[56]D.B.Nelson,M.H.Nehrir,C.Wang,Unit sizing and cost analysis of stand-alone hybrid wind/PV/fuel cell power generation systems,Renew.Energy 31 (10) (2006) 1641-1656.
[57]F.M.Wulfran,D.N.Serge Raoul,J.J.M.Reagan,et al., Technical assessment of a stand-alone hybrid renewable system for energy and oxygen optimal production for fishes farming in a residential building using HOMER pro, Cleaner Eng.Technol.17 (2023)100688.
[58]G.N.Van, S.Prabhakar, J.B.Bhaskor, et al., Techno-economic analysis of a hybrid energy system for electrification using an offgrid solar/biogas/battery system employing HOMER:a case study in Vietnam, Process Saf.Environ.Prot.191 (2024) 1353-1367.
[59]O.Norddine, R.Abdelbari, M.Anouar, et al., Hybrid energy systems: design, optimization, and integration for African remote villages, 2023 IEEE PES/IAS PowerAfrica, 2023.
[60]K.Linta, L.B.Kamran, M.I.A.Arslan, et al., Optimization and designing of hybrid power system using HOMER pro,Mat.Today:Proc.J.47 (2020) S110-S115.
[61]R.Fermı´n, F.Alice, G.Ainhoa, et al., Predicting solar energy generation through artificial neural networks using weather forecasts for microgrid control, Renew.Energy 126 (2018) 855-864.
[62]HOMER Energy.HOMER Pro Version 3.7 User Manual.Boulder.CO: HOMER Energy, 2016.
[63]A.H.S.Weerakoon, A.Mohsen, Artificial neural network (ANN)driven techno-economic predictions for micro gas turbines(MGT)based energy applications, Energy AI 20 (2025) 100483.
[64]H.Bevrani,F.Habibi,P.Babahajyani,et al.,Intelligent frequency control in an AC microgrid: online PSO-based fuzzy tuning approach, IEEE Trans.Smart Grid 3 (4) (2012) 1935-1944.
[65]C.Chen,S.Duan,T.Cai,et al.,Smart energy management system for optimal microgrid economic operation, IET Renew.Power Gener.5 (3) (2011).
[66]M.Moein, O.Martin, Intelligent agent-based energy management system for islanded AC-DC microgrids, IEEE Trans.Ind.Inf.16(7) (2019) 4603-4614.
[67]A.H.Mohammed, B.Badre, K.Mohammed, et al., Advanced AI approaches for the modeling and optimization of microgrid energy systems, Sci.Rep.15 (2025) 12599.
Received 30 December 2024;revised 22 May 2025; accepted 26 May 2025
Peer review under the responsibility of Global Energy Interconnection Group Co.Ltd.
* Corresponding author.
E-mail addresses: makhoukh.anouar@gmail.com (A.Makhoukh),redouane@enim.ac.ma (A.Redouane), nourddin.oubouch@gmail.com(N.Oubouch), elhasnaoui@enim.ac.ma (A.E.Hasnaoui).
https://doi.org/10.1016/j.gloei.2025.05.008
2096-5117/
2025 Global Energy Interconnection Group Co.Ltd.Publishing services by Elsevier B.V.on behalf of KeAi Communications Co.Ltd.This is an open access article under the CC BY-NC-ND license(http://creativecommons.org/licenses/by-nc-nd/4.0/).

Anouar Makhoukh is a Ph.D.student specializing in hybrid renewable energy systems at the National School of Mines of Rabat (ENSMR).He holds a Master’s degree in renewable energies and storage.His research interests include the development of microgrids, addressing environmental pollution caused by greenhouse gases in alignment with the United Nations’Sustainable Development Goal 7, and integrating modern technologies into microgrid systems.