0 Introduction
The global pursuit of sustainable energy solutions has propelled microgrid technology to the forefront of modern energy systems.These self-sustaining networks, integrated with distributed energy resources and intelligent management systems, offer a resilient, efficient, and environmentally conscious approach to addressing the increasing energy demands of diverse communities [1].Microgrids possess the capability to operate in both grid-connected and islanded modes.The microgrid controller plays a pivotal role, performing various essential functions including frequency and voltage control, energy and load management, as well as facilitating smooth reconnection to the grid and seamless transition between grid-connected and islanded operation.
The optimization of economic dispatch and cost management within microgrid systems has garnered considerable attention in scholarly works exploring various metaheuristic algorithms.A comparative study on economic load dispatch using metaheuristic algorithms is presented in [2].
Microgrid energy management system optimization using Particle Swarm Optimization (PSO) is discussed in[3] and [4].Additionally, a comparative study between PSO and Mixed Integer Linear Programming (MILP) is presented in [5], where PSO demonstrates superior cost reduction compared to the MILP algorithm.While metaheuristic algorithms often outperform other approaches,especially in microgird optimization, a Genetic Algorihm(GA) is employed in [6] for microgrid resource optimization.Recent studies have explored Ant Colony Optimization (ACO) because of its adaptability and problemsolving capabilities in complex dispatch scenarios[7].Simulated Annealing (SA), recognized for its capacity to navigate complex solution spaces, has demonstrated potential in microgrid optimization strategies [8].Similarly, Differential Evolution (DE) has attracted attention for its simplicity and computational efficiency, as evidenced by several recent publications [9].
This article presents a comparative analysis of GA and PSO algorithms for microgrid energy management.It evaluates their respective merits, limitations,and overall effectiveness.Through performance analysis, the study provides insights into the strengths and weaknesses of each algorithm.Building upon prior research, it proposes a framework to support informed decision-making in the selection of optimization approaches.
0.1 Introduction to power flow optimization in microgrid
The complexity of microgrid operations due to their diverse energy sources, fluctuating demand, and variable environmental conditions necessitates careful attention to power flow optimization.Efficient energy management in microgrids is essential not only for ensuring a reliable power supply but also for minimizing operational costs and reducing environmental impact.Optimization algorithms, particularly metaheuristic algorithms (MAs), have emerged as powerful tools in this domain [10], offering advanced strategies to address the multifaceted challenges associated with microgrid operations.These algorithms are crucial to the refinement of power flow, ensuring optimal resource utilization while adhering to operational constraints and achieving predefined objectives.
Table 1 presents a selection of studies employing various MAs across different microgrid configurations and objectives.It highlights the frequent application of PSO and GA, which are notable for their fast response times and relative simplicity in addressing complex optimization problems.Accordingly, this paper focuses specifically on PSO and GA within the context of cost reduction in Microgrid Energy Management Systems (MEMS).
0.2 Paper contribution
The novelty of this article lies in the following contributions:
Evaluating the performance of metaheuristic algorithms in reducing power costs.
Analyzing the impact of population size on optimization outcomes.
Comparing the effectiveness of Particle Swarm Optimization (PSO) and Genetic Algorithm (GA) to determine the more efficient approach.
0.3 Paper outline
The structure of this paper is as follows: Section 2 presents the methodology,providing a detailed description of the Microgrid case study,model development,defined scenarios, and implementation steps.Section 3 discusses the results, highlighting the outputs of the optimization algorithms and analyzing the impact of parameter variations on cost outcomes for both PSO and GA.Finally,Section 4 provides the conclusion, summarizing the overall study,identifying limitations, and suggesting potential directions for future research.
1 Methodology
1.1 Microrgrid description and model development
The proposed Microgrid Energy Management System(MEMS) was tested in a practical setup using a commercial load within an experimental microgrid (MG), as illustrated in Fig.1.The MG is connected to the main grid to ensure a continuous power supply, thereby compensating for the intermittency of renewable energy sources.The power system comprises photovoltaic (PV) panels and a Battery Energy Storage System (BESS).The system is designed to supply a 10 kW load, with weather and load data sourced from meteorological records of Rabat city,Morocco.Fig.2 presents the PV power profile over the course of a typical day.
A comparative study is conducted on grid-tied microgrids to evaluate the performance and cost-saving potential of PSO and GA approaches.The microgrid systemcomprises key components, including Photovoltaic (PV)panels and a Battery Energy Storage System(BESS).Simulations are carried out using MATLAB/Simulink, with the objective of optimizing power flow efficiency and minimizing electricity costs over a 24-hour cycle (from hour 1 to 24).
Table 1 Summary of studies using metaheuristic algorithms for microgrid optimization.


Fig.1.Architecture of the Microgri.

Fig.2.Daily load demand and PV generation profile.
The optimization module is designed to effectively manage energy generation and consumption, ensuring that demand is met while minimizing operational costs.Energy produced by the PV panels is prioritized for immediate use or storage in the BESS.To promote efficient selfconsumption, strict limitations are imposed on feeding excess power back into the main grid,thereby encouraging maximum utilization of available renewable resources and reducing reliance on external supply, especially during peak hours.
The model incorporates real-world load profiles and weather data to simulate the Energy Management System(EMS) under practical conditions.Additionally, the study accounts for the Moroccan electricity context by incorporating actual national tariffs and Time-of-Use(TOU)pricing strategies, thereby accurately reflecting local market conditions.
For improved visualization, a flowchart, summarizing the energy management and optimization process, is presented in Fig.3.The process begins with data collection and preprocessing followed by the energy dispatch procedure utilizing both PSO and GA, and concludes with a comparative analysis of the simulation results to evaluate their performance under real operating scenarios.
PSO and GA are selected for their proven capability to efficiently address complex optimization problems in energy management.Both algorithms are effective in minimizing operational costs, balancing energy production with consumption, and optimizing the use of energy storage.The optimization process includes data collection,energy dispatch, and result comparison, all of which are illustrated in the flowchart in Fig.3.
1.2 Problem formulation

Fig.3.Scenarios implementation flowchart.
The primary objective of the Microgrid Energy Management System (M EMS) is to optimize cost reduction and efficiently manage power flow within the microgrid[26].This is accomplished by strategically defining decision variables over a comprehensive 24-hour timeline.The system incorporates operational and maintenance (O&M)costs associated with inputs, integrating these factors into an equation that defines the overall cost function.Through this approach, the M EMS aims to streamline decisionmaking processes and dynamically regulate energy flow within the microgrid,

where CPV and CBESS represent the operating and maintenance(O&M)costs associated with the output energy of the solar panels (PV) and the battery energy storage system (BESS), respectively (Table 2).
CG represents the cost of purchasing electricity from the main grid at time interval t.This time frame T ranges from 1 to 24 h and varies according to the Time-of-Use (TOU)pricing strategy.This strategy supports the economic dispatch and overall functionality of the microgrid’s Energy Management System (EMS).The TOU pricing is seg-mented into three distinct periods over the course of the day.In the context of this case study, the microgrid operates at low voltage, and the applicable Moroccan TOU pricing structure is presented in the Table 3 below.
Table 2 Operation and maintenance costs of distributed energy sources.

P
denotes the hourly electric power exchange between the microgrid and the main power system.It takes a positive value when the microgrid purchases power from the grid and a negative value when power is exported to the grid [27].
In addressing optimal power flow challenges,it is essential to consider a range of operational constraints.These include both equality and inequality constraints, which are presented in [4].
1.3 Overview of Genetic Algorithm in MG energy optimization
The Genetic Algorithm (GA) represents a powerful computational technique inspired by the principles of evolutionary biology, offering a novel approach to solving complex optimization problems, particularly in the field of energy optimization within microgrids.
The flowchart depicted in Fig.4 illustrates the implementation steps and parameters of the GA algorithm,including encoding, crossover, and mutation processes.These operations can vary significantly depending on the specific problem domain and the algorithm’s design.Typically, they involve encoding and manipulating strings of values that represent potential solutions to the optimization problem.
In summary, GAs utilize principles derived from natural selection and genetics to iteratively evolve a population of potential solutions.When applied to microgrid energy management, they contribute to the optimization of energy utilization, distribution strategies, and overall grid efficiency.
The implementation details of the PSO algorithm are detailed in [4].
1.4 Parameter settings of GA and PSO
Optimization algorithms depend on carefully selected parameter configurations to operate effectively,influencing key performance metrics such as convergence speed and solution quality.These parameters include the number of iterations, population size, crossover and mutation rates,as well as control coefficients such as weights and thresholds.In this study, specific parameter values have been selected, as outlined in Table 4 (’Parameters of GeneticAlgorithms (GA) and Particle Swarm Optimization(PSO)’).The chosen settings, including a 100-iteration limit,population sizes(NumFam and NumPar),and specific weights(Win,Wend,C1,C2),are designed to realize an optimal balance between exploration and exploitation.
Table 3 TOU pricing strategy in Morocco.


Fig.4.Flowchart of GA algorithm.
In the final section of this paper, various scenarios will be evaluated to analyze the impact of these parameter configurations on optimization outcomes, providing insights into their role in enhancing the performance of energy management systems in microgrids.
2 Results and discussion
2.1 Simulation results
The application of GA and PSO to the optimization problem produced valuable insights.Comparative analyses,depicted through tables,charts,and graphs,highlighted distinct performance characteristics of the two algorithms.The results indicate that GA is particularly effective at rapidly converging toward local optima, while PSO exhibits superior global exploration capabilities.These patterns observed during the optimization process underscore the differing yet complementary strengths of the two methods.
Considering the abundance and cost-free availability of solar energy, the operational and maintenance costs associated with PV systems in Morocco are considered negligible.
Figs.5 and 6 illustrate the objective function values across iteration for two scenarios: one utilizing Genetic Algorithms(GA)and the other employing Particle Swarm Optimization (PSO).
Figs.7 and 8 illustrate the approach used for optimal scheduling of available energy resources over a 24-hour period, utilizing both PSO and GA algorithms.
They present a comprehensive depiction of the methodology employed to determine the most effective scheduling strategy for allocating energy resources across the upcoming 24-hour cycle.
The lithium-ion battery features an energy storage capacity of 80 kW-hours (kWh), providing ample stored energy for future use.Combined, the photovoltaic (PV)array and the battery system offer a total power output capacity of 10 kW(kW),indicating their maximum instantaneous power delivery.
This distinction is crucial: the 80-kWh capacity of the lithium-ion battery reflects its ability to store a substantial amount of energy for extended use, whereas the 10 kW combined capacity represents the maximum instantaneous power output of the PV array and batteries.This configuration highlights that while the PV array and batteries can collectively deliver power at a rate of 10 kW, the lithiumion battery’s storage capacity ensures a continuous energy supply over a prolonged period.
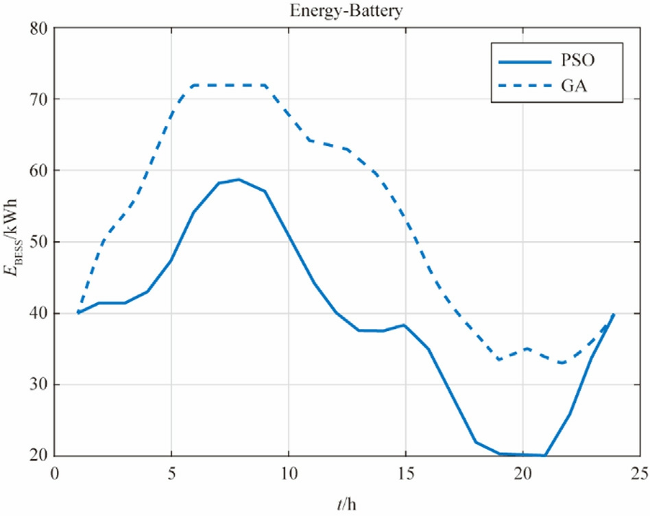
For the GA-based and PSO-based optimal scheduling of available energy resources 24 h in advance, Fig.8 presents the PSO-based schedule.The system configuration consists of a 10 kW capacity PV array and an 80 kWh Lithium-ion battery for energy storage.Additionally,Fig.9 displays the battery’s performance and discharging schedule, optimized using both GA and PSO algorithms.
Notably, the scheduling begins with an initial battery energy level of 40 kWh, and by the end of the 24 h cycle,the battery is restored to its original capacity.
Table 5 presents the maximum and minimum battery energy levels for each algorithm PSO and GA to save battery life, during off-peak hours the lithium-ion battery is charged.
Table 4 Parameters of genetic algorithms and particle swarm optimization.


Fig.5.Objective function values at each iteration: PSO.

Fig.6.Objective function values at each iteration: GA.

Fig.7.Power scheduling over a 24 h period using PSO.

Fig.8.Power scheduling over a 24 h period using GA.

Fig.9.Battery Energy management based on GA and PSO.
In this context, based on the defined energy limits, the GA algorithm achieves a higher maximum energy of 72 kWh, compared to PSO’s 59 kWh.Similarly, GA maintains a higher minimum energy level of 32 kWh, whereas PSO reaches a minimum of 20 kWh.These results indicate that, in terms of energy limits, the GA algorithm sustains higher energy levels at both maximum and minimum thresholds when compared to the PSO algorithm.
2.2 Total cost
Depending on various input factors influencing the 24-hour cycle of efficient energy scheduling,a clear distinction emerges between the cost curves generated by the PSO and GA algorithm in microgrid operation.Notably, Fig.10 illustrates that the cost curve obtained through the PSO algorithm consistently remains below that of the GA algorithm.Consequently, the use of the PSO approach may result in significant cost savings, amounting to approximately $15.30 in this evaluation.
The investigation into the 24-hour cycle of optimal energy scheduling incorporates multiple input parametersthat intricately influence cost dynamics within microgrid operations.A clear divergence is observed between the cost curves produced by two prominent optimization techniques: Particle Swarm Optimization (PSO) and Genetic Algorithm (GA).
Table 5 Battery energy limits: GA vs.PSO.

Notably, throughout the evaluation period, the cost curve resulting from the PSO algorithm consistently remains below that of the GA algorithm.This consistent trend underscores the comparative advantage of the PSO approach in managing and optimizing energy utilization within the microgrid system.
An intriguing finding from this comparative analysis is the potential cost savings associated with the use of the PSO algorithm.Based on the evaluation, employing the PSO approach could result in substantial economic benefits, with an estimated reduction in the electricity bill of$15.30,representing an optimization of 39%from the total cost.
This significant cost-saving potential highlights the effi-ciency and effectiveness of the PSO algorithm in enhancing the economic viability of microgrid operations,reinforcing its promise as a valuable tool for optimizing energy scheduling and resource utilization.
2.3 Summary of the comparison between GA & PSO
The comparative analysis of the GA and PSO algorithms reveals distinct performances across multiple evaluation metrics, as evidenced by the obtained results.The assessment criteria included cost efficiency,energy scheduling,and overall optimization within the microgrid system.

Fig.10.Total cost of microgrid operation: GA vs PSO.
Notably, varying the number of families and population size significantly influences cost outcomes when applying PSO and GA methods for energy management optimization.
With the number of iterations fixed at 100, different configurations yield varied cost performances.For instance, a configuration of 20 families and a population size of 60 results in the lowest costs,with the GA approach demonstrating superior performance over PSO under these settings.
The detailed breakdown presented in Table 6 underscores the importance of parameter tuning in enhancing the efficiency and cost-effectiveness of optimization algorithms,emphasizing the critical role of parameter selection in achieving optimal microgrid energy management.
The findings illustrate a nuanced picture (see Table 7):the GA algorithm exhibited competitive outcomes in certain aspects, particularly by attaining higher maximum and minimum energy levels compared to the PSO algorithm.However, the PSO algorithm consistently outperformed GA in terms of cost efficiency and overall energy optimization throughout the 24-hour assessment period.
3 Conclusion
This study conducted a comparative analysis of the Genetic Algorithm(GA)and Particle Swarm Optimization(PSO) for microgrid energy management, highlighting the distinct strengths of each approach.The GA proved effective in handling extreme energy fluctuations, achieving higher maximum and minimum energy levels.Conversely,the PSO algorithm consistently demonstrated superior cost-efficiency and balanced energy utilization over the 24-hour scheduling cycle, achieving an optimization of up to 39%in the total electricity bill.These findings underscore PSO’s potential as a robust and practical solution for real-world microgrid applications.
The scenario-based analysis revealed that as the number of families increased, the overall energy cost decreased,indicating that larger systems derive greater benefits from optimization due to improved energy distribution.The best performance was observed in the second scenario,likely attributed to a balanced population size and enhanced solution diversity, which contributed to increased algorithmic efficiency.
These findings highlight the importance of selecting optimization techniques that align with the specific objectives and constraints of a microgrid, thereby enabling a more effective and customized energy management strategy.
Despite the valuable insights gained,several limitations must be acknowledged.The current model focuses exclusively on battery storage, omitting considerations ofalternative energy storage systems.Additionally, it assumes static electricity pricing and incorporates a simplified battery degradation model.Lastly, the results are derived from simulations and have not yet been validated under real-world operating conditions.
Table 6 Impact of Parameter Variations on Cost Outcomes for PSO and GA.

Table 7 Performance Metric of GA and PSO.

Future work will address these limitations by:
Incorporating dynamic electricity pricing and comprehensive battery aging models.
Expanding the scope to multi-energy systems,including hydrogen storage and demand-side response (DSR)programs.
Integrating advanced techniques,such as reinforcement learning, to further enhance energy management optimization.
Conducting real-world experimental validation, including Hardware-in-the-Loop (HIL) testing, to ensure robustness and practical applicability in microgrid environments.
These enhancements will strengthen system resilience and support the development of intelligent, scalable, and adaptive energy solutions.
CRediT authorship contribution statement
Mouna EL-Qasery:Writing-review&editing,Writing- original draft, Visualization, Software, Methodology,Investigation, Formal analysis, Data curation. Ahmed Abbou: Visualization, Validation, Supervision. Mohamed Laamim: Visualization, Validation, Supervision. Lahoucine Id-Khajine: Validation, Supervision, Software, Conceptualization. Abdelilah Rochd: Supervision.
Declaration of competing interest
The authors declare that they have no known competing financial interests or personal relationships that could have appeared to influence the work reported in this paper.
Acknowledgments
I gratefully acknowledge the financial support provided by Green Energy Park for my PhD research.Their funding and resources have been essential to the success of this work.I also extend my sincere gratitude to my professors for their invaluable guidance and support throughout this journey.
References
[1]T.Vijayapriya,D.P.Kothari,Smart grid:an overview,Smart Grid Renew.Energy 2 (4) (2011) 305-311.
[2]A.Widi, Comparison study on economic load dispatch using metaheuristic algorithm, Gazi Univ.J.Sci.(2022) 1.
[3]G.Yuan,W.Yang,Study on optimization of economic dispatching of electric power system based on Hybrid Intelligent Algorithms(PSO and AFSA), Energy 183 (2019) 926-935.
[4]M.E.Qasery, A.Ahmed, I.K.Lahoucine, Grid-tied energy management system for hybrid microgrid using advanced PSO algorithm, in: Proceedings of International Conference Electrical Systems & Automation, Springer Nature, Cham, Switzerland,2023, pp.187-191.
[5]M.El Qasery, A.Ahmed, L.Id-Khajine, A comparative study of PSO and MILP optimization algorithms for economic dispatch in grid-tied microgrids, in: S.Motahhir, B.Bossoufi (Eds.), Digital Technologies and Applications.ICDTA 2024.Lecture Notes in Networks and Systems, Springer, 2024.
[6]P.Roberto et al., An improved genetic algorithm approach to the unit commitment/economic dispatch problem,IEEE Trans.Power Syst.35 (5) (2020) 4005-4013.
[7]S.Kumar, V.Kumar, N.Katal, et al., Multiarea economic dispatch using evolutionary algorithms, Math.Probl.Eng.2021(2021) 1-14.
[8]J.Mir, M.Imdad, J.A.Khan, et al., Economic Load Dispatch Problem via Simulated Annealing Method, in: Proceedings of the Fourth International Conference on Soft Computing and Data Mining (SCDM 2020), Melaka, Malaysia, January 22-23, 2020,Springer International Publishing, 2020, pp.448-459.
[9]H.Mounira et al., An improved adaptive differential evolution optimizer for non-convex Economic Dispatch Problems,Appl.Soft Comput.85 (2019) 105868.
[10]F.Firdouse, M.Surender Reddy, A hybrid energy storage system using GA and PSO for an islanded microgrid applications,Energy Storage (2023).
[11]S.Mishra, G.Mallesham,P.Sekhar, Biogeography based optimal state feedback controller for frequency regulation of a smart microgrid, IEEE Trans.Smart Grid 4 (1) (2013) 628-637.
[12]X.Lu, K.Zhou, S.Yang, H.Liu, Multi-objective optimal load dispatch of microgrid with stochastic access of electric vehicles, J.Clean.Prod.195 (2018) 187-199.
[13]T.T.Agir, New swarm intelligence based optimization algorithms for the optimization of microgrids,Eur.J.Tech.(EJT)8(2)(2018)196-208.
[14]S.Sen,K.D.Gupta,S.Poudyal,M.M.Ahsan,A genetic algorithm approach to optimize dispatching for a microgrid energy system with renewable energy sources, Comput.Sci.Inf.Technol.(CSIT)9 (14) (2019) 523-535.
[15]S.Ghorbani, R.Unland, H.Shokouhandeh, R.Kowalczyk, An innovative stochastic multi-agent-based energy management approach for microgrids considering uncertainties, Inventions 4(3) (2019) 37.
[16]M.Xu, T.Gu, J.Qin, W.Zheng, GA based multi-objective operation optimization of power microgrid, Proceedings 2019 International Conference on Intelligent Systems, 2019.
[17]F.Tooryan, H.HassanzadehFard, E.R.Collins, S.Jin, B.Ramezani, Smart integration of renewable energy resources,electrical, and thermal energy storage in microgrid applications,Energy 212 (2020) 118716.
[18]A.R.Jordehi, A mixed binary-continuous particle swarm optimisation algorithm for unit commitment in microgrids considering uncertainties and emissions, Int.Trans.Electr.Energy Syst.30 (11) (2020) 12581.
[19]F.Yaprakdal,M.B.Yilmaz,M.Baysal,A.Anvari-Moghaddam,A deep neural network-assisted approach to enhance short-term optimal operational scheduling of a microgrid,Sustainability 12(4)(2020) 1653.
[20]L.Yin, S.Li, Hybrid metaheuristic multi-layer reinforcement learning approach for two-level energy management strategy framework of multi-microgrid systems, Eng.Appl.Artif.Intell.104 (2021) 104326.
[21]L.P.Raghav,R.S.Kumar,D.K.Raju,A.R.Singh,Optimal energy management of microgrids using quantum teaching learning based algorithm, IEEE Trans.Smart Grid 12 (6) (2021) 4834-4842.
[22]J.Aguila-Leon, C.Vargas-Salgado, C.Chinas-Palacios, D.Diaz-Bello, Energy management model for a standalone hybrid microgrid through a particle swarm optimization and artificial neural networks approach, Energy Convers.Manage.267 (2022)115920.
[23]M.R.Jokar et al.,Stationary and mobile storages-based renewable off-grid system planning considering storage degradation cost based on information-gap decision theory optimization, J.Energy Storage 58 (2023) 106389.
[24]V.Suresh, P.Janik, M.Jasinski, J.M.Guerrero, Z.Leonowicz,Microgrid energy management using metaheuristic optimization algorithms, Appl.Soft Comput.134 (2023) 109981.
[25]S.L.L.Wynn, T.Boonraksa, P.Boonraksa, W.Pinthurat, B.Marungsri,Decentralized energy management system in microgrid considering uncertainty and demand response, Electronics 12 (1)(2023) 237.
[26]T.Hai, J.Zhou, J.M.Zain, et al., Cost optimization and energy management of a microgrid including renewable energy resources and electric vehicles,J.Energy Res.Technol.145(4)(2023)042101.
[27]S.Phommixay,M.L.Doumbia,D.Lupien St-Pierre,Review on the cost optimization of microgrids via particle swarm optimization,Int.J.Energy Environ.Eng.11 (2020) 73-89.
Received 12 February 2025;
revised 18 April 2025; accepted 5 May 2025
Peer review under the responsibility of Global Energy Interconnection Gr oup Co.Ltd.
* Corresponding author at: Mohamed V University, Mohammadia School of Engineering, Department of Electrical Engineering, Rabat,Morocco.
E-mail addresses: mouna.elqasery@um5r.ac.ma (M.EL-Qasery),Abbou@emi.ac.ma (A.Abbou), Laamim@greenenergypark.ma (M.Laamim), lahoucine.idkhajine@cyu.fr (L.Id-Khajine), Rochd@greenenergypark.ma (A.Rochd).
https://doi.org/10.1016/j.gloei.2025.05.003
2096-5117/© 2025 Global Energy Interconnection Group Co.Ltd.Publishing services by Elsevier B.V.on behalf of KeAi Communications Co.Ltd.
This is an open access article under the CC BY-NC-ND license(http://creativecommons.org/licenses/by-nc-nd/4.0/).

MounaEL-Qasery received her Master degree in Renewable Energy and Storage from the Faculty of Science of Rabat,Morocco,in 2021.She is currently working towards her PhD degree in Electrical Engineering at Mohammadia School of Engineers and the Green Energy Park research platform, Morocco.Her research interests include modeling, forecasting, and optimizing energy management systems for microgrids, utilizing advanced algorithms and artificial intelligence to improve system performance and sustainability.