0 Introduction
The extensive usage of non-renewable energy has caused issues such as fossil energy shortages and severe environmental contamination.The scientific utilization of renewable energy is crucial for achieving low carbon emissions in modern power systems [1].However, renewable energy power generation significantly limits the ability of conventional energy systems to accept renewable energy source (RES) and the level of consumption of RES owing to its intermittent and random characteristics.When compared with the conventional microgrid, the integrated energy system (IES) based on combined heat and power(CHP) is more flexible for rationalizing the use of primary energy and coordinating the unified planning of energy[2],which has garnered significant attention from the industrial sector and academia [3,4].The scheduling problem of IES is gradually transformed into a type of multiagent optimization problem owing to the continuous change in the modern power system structure and the increase of participants in the power market.Therefore,the game theory, which considers the interaction of multiple decision-makers and multi-objective coordination equilibrium, presents a new perspective for examining these problems [5,6].Currently, a bi-level or three-level game optimization model is commonly used.I n reference[7], the optimal scheduling problem of the short-term market of the energy hub was analyzed.The bi-level Stackelberg model comprised an energy market at the upper level and an energy producer at the lower level.The simulation results demonstrated that game theory can provide producers with higher returns.In reference [8], the game relationship between the electricity retailers and commercial building users was analyzed.Among them, electricity retailers provide electricity prices, and the electricity consumption strategy of building users varies with the change in the external electricity prices.The results demonstrated that game theory can increase the revenue of electricityselling companies and improve user satisfaction with electricity services in buildings.In reference[9], a bi-level game optimization model was constructed with the power supply subject as the leader and gas supply subject as the follower to optimize the operation problem of both the power and gas supply subjects in IES.In reference [10], a lowcarbon Stackelberg optimal scheduling model was established based on IES by introducing carbon capture equ ipment and electric-gas equipment on the energy supply side.In reference[11], a demand response model was developed based on the flexible equipment owned by the power consumption side and the user’s comfort requirements.Consequently, a bi-level Stackelberg master-slave game model was established.This example demonstrated that the user’s consumption behavior can affect the optimal scheduling results of the entire system to a certain extent.Based on the perspective of the carbon mechanism, the uncertainty of the response of both the power supply side and user load side of the IES to the carbon mechanism was considered in reference [12].An optimized scheduling method was proposed based on the perspective of bilateral competition to overcome this uncertainty problem.This method presents a new approach for the hierarchical integrated energy market trading model.Based on these bi-level game models,a three-level game model was established by developing a dual master-slave game model and using the load aggregators as energy trading hubs in reference [13].The model nests non-cooperative games in the master-slave game model and establishes a distributed iterative solution method to perform collaborative optimization calculations.A three-level non-co operative game trading mechanism was developed based on the multi-microgrid gridconnected model in reference [14].Additionally, a riskaverse stochastic programming method was developed based on the uncertainty factors of the power supply side and the load side of the power system.The application of game theory in the energy field is preferred as the threelevel model is a better fit for the actual trading model.
However, the previous studies conducted on the game strategy considering the IES have not fully considered the situation wherein the shared energy storage station(SESS) participates in the optimal scheduling as an auxiliary equipment on the power supply side.Furthermore,the optimal scheduling algorithm doe s not focus on the robustness of the results in the time domain.In this study,we established a bi-level Stackelberg game model to overcome these problems.Moreover, we added SESS on the power supply side for optimal scheduling and improvement in the structure of modern power systems.Additionally, we propose an impro ved robust optimization over time (ROOT) and CPLEX to solve the established bilevel game model.
1 System model and problem formulation
1.1 Overall framework of the IES
The proposed IES comprises regional energy retailer(RER), load aggregator (LA), regional energy aggregator(REA) and SESS.IES cooperates with the external power grid (EPG) to realize the economic and stable energy supply of the entire system using RER as the link and REA as the basis.Fig.1 depicts the overall structure of the IES.RER is a bridge that connects REA and LA, and provides a reasonable purchase and sale price for REA and LA.RER can better guide REA and LA to participate in the electricity market activities when compared with EPG owing to the flexible pricing strategy.LA gathers a group of energy users with demand response(DR)capabilities to participate in energy trading activities [15].Based on the RER daily energy price, REA and LA optimize the energy output of the equipment and energy demand of the load in each period.
REA comprises several integrated electric-heat systems(IEHS), with IEHS as the core to satisfy the energy purchase demand of RER.Fig.2 depicts the structure of IEHS.In this system, electricity is generated using renewable energy sources such as photovoltaic (PV) and wind turbine (WT) generators, along with gas energy supplied by an external natural gas network.Natural gas is supplied to the CHP and gas boiler (GB).The energy coupling devices include CHP, electric boiler (EB) and GB, which can realize the bidirectional flow of electric-thermal energy.The CHP consists of gas turbine (GT), a waste heat boiler (WHB), and a low-temperature waste heat power generation device based on an organic Rankine cycle (ORC).The operation mode of the CHP is thermoelectrolytic coupling.The EB absorbs renewable energy and takes part of the heat load, and SESS stores the electric energy in the system.

Fig.1.IES Structure.

Fig.2.IEHS Structure.
Based on the daily energy prices set by the RER in the upper region, the output of each equipment was optimized within each time period and coordinated with SESS to maximize the consumption of renewable energy and maximize its own energy sales revenue.Simultaneously, REA builds SESS around the regional energy system according to the actual situati on and provides energy storage equipment leasing services for its multiple IEHSs.The SESS presents energy charging and discharging plans by interacting with the REA information and formulates interactive energy strategies to satisfy the system requirements.
1.2 Energy trading process
Fig.1 depicts the bi-level energy Stackelberg game structure, which comprises two stages: pricing stage and energy supply stage.The energy trading process involves first determining the price, followed by supplying the energy.The decision solutions of the two stages affect each other until they reach the equilibrium state.
Pricing stage: The upper RER comprehensively considers the supply and demand relationship of the energy supply side and demand side, along with the pricing factors of the external energy network, and formulates its own purchase and sale energy price to maximize its own income.
Energy supply stage: The lower energy supply side REA formulates the optimal operation plan of the unit based on the upper price information to achieve its own optimal benefits.Similarly, the energy demand side LA formulates its own optimal load curve according to the upper price information to satisfy its own energy usage requirements.
2 Problem Formulation
2.1 Modeling of RER
The RER is used to maximize the revenue.

whereCsel l, Cbu y, Cgr id, Cheat denote the energy sales revenue, energy purchase expenditure, grid interaction expenditure, and heating penalty expenditure of RER,respectively.T indicates the number of scheduling periods;t represents the current scheduling period;Δtsignifies the scheduling time period;
and
refer to the electrical and heat load of LA;
and
symbolize the electrical and heat power sales prices of the RE R;
and
denote the electrical and heat power supply of REA;
and
represent the electrical and heat power purchase prices of the RER;
and
indicate the electricity power sale and purchase prices of the EPG;λhrefers to the penalty coefficient for the heating interruption.
To prevent deterioration and avoid the direct transaction between REA/LA with EPG, the purchase/sale price of the RER must be slightl y higher/lower than the price of EPG, and the following constraint should be satisfied:

where
and
represent the lower and upper limits of the heat price, respectively.Addit ionally, the RER’s energy price must also meet the following conditions:

where
and
represent the upper limits of the average electrici ty and heat prices of each scheduling period.
2.2 Modeling of LA
The LA is used to maxi mize consumer satisfaction:

whereCsat denotes the energy satisfaction; ve, αe, vh, and αh denote the coefficient of LA emphasis on the electrical energy and heat energy.
We consider the role of DR and describe the load contained in the LA as follows:

where
and
denote the fixed electrical/fixed heat load,
indicates the transferable electrical load, and
represents the reducible heat load.The loads that participate in the DR must satisfy the following constraints:
where
and
represent the upper limit of transferable electrica l load and reducible heat load,respectively.
The total translation of transferable electric load remains unchanged.
where Pshftotal denotes the total load of transferable electrical load.
2.3 Modeling of REA
Based on the energy price given by RER, the REA optimizes the running state of its own equipment.The REA is used to maximize the revenue.

where Cfuel denotes the gas purchase expenditu re;Csess denotes the energy storage equipment maintenance expenditure; Ndenotes the number of IEHS in REA; i denotes thei th IEHS;
denotes the electric power output of GT;
denotes the heat power output of GB; agt,bgt ,andcgt are the cost factor of GT; agb ,bgb and cgb denote the cost factor of GB;ωmain denotes the maintenance expenditure of the storage equipment;
and
denote the value of the REA storing/retrieving electrical energy with the SESS, respectively.
The detailed constraints are presented in references[16,17].The following constraints must be included owing to the addition of SESS.Firstly, each IEHS mu st satisfy the following constraints:
where
and
denote the electrical energy stored and output by the SESS, respectively.
Additionally, the interaction power of the IEHS using SESS mu st also satisfy the following constraints:

where Psessmax denotes the upper limit of interaction power of REA when using SESS;
and
represent the discharging status bit and charging status bit of the SESS,respectively.
2.4 Modeling of SESS
The SESS is an indispensable part of modern energy systems required to advan ce energy consumption and economic operation [18].Typically, SESS is operated and managed by the REA and presents energy storage services to IEHS in the REA.The capacity of SESS must remain continuous, which can be expressed as follows:
where
denotes the state of charge (SOC) of the SESS;
indicate the energy self-discharge effi-ciency, energy charge efficiency, and energy discharge effi-ciency of the energy storage equipment, respectively.
To ensure that the SESS provides continuous energy storage service during scheduling period, the SOC of the SESS must satisfy the following constraints:

where
denote the lower limit coeffi-cient, upper limit coefficient, and initial coefficient of SESS, respectively.
The overall input/output power of SESS must satisfy the following constraints:

3 Bi-level Stackelberg game framework
The RER, as a leader, maximizes its benefits by implementing a reasonable energy price strategy.On the energy supply side, the REA optimizes the output of each equipment in the IEHS to obtain maximum revenue based on the price strategies presented by the RER.On the energy demand side, LA, as another follower, optimizes its own electrical load and thermal load corresponding to the DR based on the given selling price of RER to achieve maximum consumer satisfaction.
3.1 Game process
In the optimal scheduling process of the proposed model, the optimization of the REA and LA is dependent on pricing strategies of the RER.This trading process conforms to the one-master multi-slave bi-level Stackelberg game model.Thus, this bi-level optimization problem is as follows:
(1) Participants: In the above Stackelberg game, RER is the upper leader, and REA and LA are the low er followers.The set of participants is expressed by![]()
(2) Strategies: The RER strategy involves adjusting energy prices, whereas the LA involves adjusting energy usage planning.The REA strategy involves adjusting the electric and heat power generated by each device in each IEHS and the energy interaction strategy with the SESS.The set of strategies is expressed by![]()
(3) Benefits: (1), (8), (13) represent the benefits of each participant.The set of benefits is ex-pressed by![]()
3.2 Stackelberg equilibrium
The Stackelberg equilibrium (SE) represents the realization of the maximum utility of each party in the game[19],i.e., the satisfaction of each party based on the result of the game, such that the actual utility and satisfaction of each party remain diff erent.Under such circumstances, neither participant can achieve greater benefits by unilaterally adjusting their strategy[20].The SE of the proposed model is expressed as
and the following conditions must be satisfied:

where
,and
denote the equilibrium strategies of the RER, LA and REA, respective ly;ηrea iand
denote the strategies of theith IEHS in the REA and the equilibrium strategies of other IEHS except for the ith IEHS, respectively.The conditions for the existence and uniqueness of SE in (22) are as follows:
The strategy set of each participant is a non-empty compact convex set in the Euclidean space.
When the leader’s strategy is determined, the follower’s strategy exists uniquely.
When the follower’s strategy is determined, the leader’s strategy also exists uniquely.
Owing to space limitations, the detailed proof of the existence and uniqueness of the proposed bi-level game model SE is presented in reference [20].
4 Solving method of bi-level Stackelberg game problem
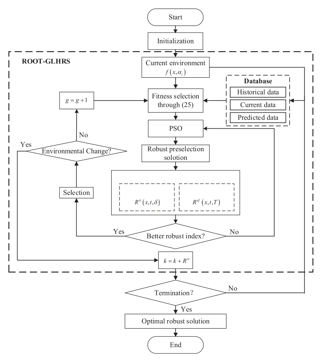
As the optimization model contains time-varying parameters, the entire system model presents timevariant dynamic characteristics, and the optimization problem must consider the robustness in the time domain.Currently, RO OT exhibits a low overall search uniformity for the solution space and is affected by the diversity of the population [21,22].The pre-selected solution easily falls into the local optimum, which is not conducive to the optimization algorithm to obtain the global robust optimal solution.Therefore, we proposed a ROOT based on the global-local hybrid random search strategy (ROOTGLHRS).
4.1 Optimal robust fitness selection conditions
Based on the mature robustness evaluation criteria, i.e.,the survival time and average fitness proposed in reference[23], we considered the calculation value of the robust solution in the current dynamic environment as the measurement benchmark and proposed the objective function in the current dynamic environment.The average floating value and the floating error of the two factors form a judgement expression to determine the robustness of the solution to reduce the calculation error of the algorithm and obtain the optimal solution with better robustness.
1) Average floating value of the objective function
The average floating value,
is defined as follows:
where
denotes the objective function in the environmenti; xindicates the decision variable; αidenotes the time-varying parameter; p represents the number of historical environments; qrefers to the number of future environments; tsignifies the current environment.A small
value indicates a gentle peak slope, implying that the objective function changes slowly; otherwise, it indicates that the peak slope is large.
2) Floating error of the objective function
The floating error,
, is de fined as follows:
A positive
value indicates a rising trend, whereas a negative value indicates a declining trend.
3) Selection strategy of fitness function
Based on the
and
values, the selection strategy of determining the fitness valu e,FFitness, of the function is obtained by introducing the selection step as follows:

whereη denotes the benchmark weight coefficient andEerr indicates the root mean square error of the predicted value, defined as follows:
where nt denotes the number of samples for the optimal solution and eiindicates the absolute difference between the true value and the predicted value of the i th sample.
4) ROOT-GLHRS
ROOT-GLHRS is obtained by combining the proposed fitness value selection strategy and the ROOT algorithm framework (Fig.3).The
and
values are calculated based on the data stored in the database presented in the algorithm, and the optimal fitness value is calculated using the selection strategy express ed in (25).The optimal fitness value obtained by the selection strategy is integrated into the particle swarm optimization (PSO) algorithm to obtain a portion of the initial robust solution with better performance.Subsequently, a mature time-domain robustness evaluation index is employed to dynamically evaluate the obtained initial robust solution.The robust solution demonstrating the optimum dynamic performance is then selected and output through an iterative process.

Fig.3.Process of ROOT-GLHRS.
4.2 Two-stage solving algorithm
TheproposedROOT-GLHRSintegrated YALMIP + CPLEX to form an optimization solution method for obtaining the optimal solution of the bi-level Stackelberg game model comprising the leader RES and followers LA and REA.Among these, the ROOTGLHRS is used to initialize and iteratively update the energy price strategies of the upper leader, while YALMIP + CPLEX is employed to calculate the optimal unit output results and load scheduling results of the lower follower as follows:
Step 1: The parameters of RER, LA and SESS parameters are initialized with iteration count, k=0, and convergence errorε0 01.
Step 2: ROOT-GLHRS is used to randomly produce a population of purchase/sale energy prices for REA, and transmit the price information to the lower-level REA and LA.
Step 3: k k 1.
Step 4: Based on the current purchase energy price,REA calculates the optimal output of each device through the CPLEX, retains the current generation revenue
, and returns the optimal output result to RER.
Step 5: Based on the current sale energy price, LA calculates the transferable electrical load and the reducible heat load through the CPLEX, thereby retaining the current generation revenue,
, and returns the load scheduling result to the RER.
Step 6: RER calculates the current generation revenue,
, based on the returned optimal results.
Step 7: ROOT-GLHRS is used to generate the RER’s purchase and sale energy price for the next generation.

5 Example analysis
5.1 Simulation system
In this study, a conventional IES was considered to analyze the effectiveness of the model and solution method.The REA comprises three IEHSs to facilitate analysis of the impact of various renewable energy sources on the operation of the IEHS.IEHS-1 only includes PV,IEHS-2 only includes WT, and IEHS-3 includes both WT and PV.Fig.4 depicts the wind power and photovoltaic prediction curves for each IEHS,while Fig.5 illustrates the power prediction curves of LA on typical days.It was assumed that the translatable electric load and reducible heat load account for 20 % of the total load.The IEHS internal equipment parameters are presented in reference [24].Fig.6 depicts the price of energy of the external energy network.

Fig.4.Renewable energy output curves of each IEHS.
The parameters of SESS are shown in Table 1.
5.2 Results and analysis
5.2.1 Analysis of the robust of modified ROOT
Considering that each peak of the modified moving peak benchmark (mMPB) can change autonomously, this feature enables mMPB to better simulate the dynamic change problem.Consequently, it is widely used in the testing of the dynamic optimization algorithms.Therefore,we also selected mMPB as the benchmark test function and compared the robustness of ROOT-GLHRS with other ROOT in this context.A detailed description of the parameters of the mMPB setting are presented in reference[23], and a comparison is performed with the methods presented in references [22,23,25,26].The evaluation performance results are the average of 3000 independent simulations.In the same mMPB test environment, different fitness thresholds were selected to detect the performance of different algorithms for dynamic environment optimization.Here, the fitness thresholds are 40 and 50.The run time represents the average value of each run time of different algorithms in the mMPB test environment.Table 2 and Fig.7 present the final results.
The experimental results demonstrate that the proposed ROOT-GLHRS method presents a more robust solution of the average evaluation index for different fitness thresholds.Compared with the results of the other ROOT algorithm, when the fitness thresholds are 40 and 50, the average evaluation index of the robust solution obtained by the proposed ROOT-GLHRS is increased by 56.91 %and 68.54 %, respectively.This enhancement is attributed to the integration of PSO as the basis in the dynamic robust optimization algorithm, which improves the global search ability of the existing ROOT algorithm.Moreover,the iterative speed and search ability of the ROOTGLHRS algorithm are further improved by using the optimal fitness value selection strategy.Thus, the proposed ROOT-GLHRS presents better dynamic robust solution optimization and the average index of the final robust solution.Furthermore, when the fitness thresholds are 40 and 50, respectively, the running time of the ROOTGLHRS increases by 6.50 % and 5.93 %, respectively,when compared with the average running time of the other ROOT algorithms.This is because the ROOT-GLHRS algorithm must calculate the optimal fitness value first.Subsequently, the calculated optimal value is substituted into the algorithm, resulting in an increase in the running time.As ROOT-GLHRS can significantly improve the average evaluation index, less running time can be included.

Fig.5.Load demand forecasting curves of LA.

Fig.6.Time-of-use electricity and heat price.
5.2.2 Analysis of Stackelberg game results of IES
Fig.8 depicts the iterative process of game optimization for the RER, REA, and LA, and the results converge within 250 iterations.The bi-level solution based on the proposed ROOT-GLHRS and CPLEX exhibits a good convergence effect.When the game participants reach SE, the respective strategies of the game participants no longer change, indicating that no participants can gain more benefits by independently varying their strategies in the current interactive state.Additionally, the convergence trends of leaders and followers are different.When each participant is in the game stage, it can be observed from the 50-60th iteration and the 100-110th iteration change curve in Fig.8, that the REA income decreases and the LA income increases with an increase in the RER income.When the participants reach SE, the benefits for each participant remain unchanged.The benefits of lower layer followers, REA an d LA, in the game are 18,203.67 ¥ and 12,583.96 ¥, respectively, and the benefit of the leader RER in the upper layer of the game is 11,069.74 ¥.
To verify the influence of different solution methods and SESS on the economy of the system operation, the following four modes are set up in this paper.The results presented above are obtained under the setting of mode 4.
Mode 1: Operational optimization of IES under PSO condition without considering SESS.
Mode 2: Operational optimization of IES under PSO condition considering SESS.
Mode 3: Operational optimization of IES under ROOT-GLHRS condition without considering SESS.
Mode 4: Operational optimization of IES under ROOT-G LHRS condition considering SESS.
Table 3 and Fig.9 present the final benefit of the RER,REA, and LA under the four modes.It can be observed that when the REA is equipped with SESS, its benefitsare higher than that without SESS, regardless of the type of renewable energy uncertainty estimation method adopted.
Table 1 Parameters of electrical energy storage equipment.

Table 2 Average fitness and running time of different ROOT under mMPB.


Fig.7.Robust solutions of different algorithms under different fitness threshold.

Fig.8.Convergence process of Stackelberg equilibrium.
Table 3 Benefits of each participant under different mode/¥.


Fig.9.Benefits of each participan t under different modes.
Furthermore, the benefit of RER decreases when the REA is equipped with SESS.This is because in these modes, the REA can deposit excess electricity into the SESS in a more economical manner when the renewable energy is abundant and can be extracted from the SESS to provide it to RER at the peak of electricity price to ensure that more benefits can be obtained.
5.2.3 Analysis of RER pricing strategy
Because the RER energy price is constrained by the external energy prices, under this constraint, RER provides REA and LA with a more advantageous price for purchasing and selling energy than EPG by rationally optimizing its own price strategy.Here, we considered the pric e of the electrical energy as an example, as shown in Fig.10 (a).Fig.1 0(a) shows that the RER performs price strategy planning within the envelope comprising the EPG time-of-use prices.The trend of its energy price to LA is similar to that of the EPG energy price, both of which peak at 13:00-17:00 and 21:00-23:00.At this time, it is also the peak of the LA power load and load game characteristics.Similarly, two peaks of energy purchase price are observed at 11:00-13:00 and 17:00-19:00, when the REA renewable energy output is greater.It can be observed that the RER appropriately increases the price of the energy sales at the peak of the LA power load to earn more income.Thus, LA obtains sufficient electricity to satisfy its own requirements and increases the price of the energy purchased when the REA renewable energy output is large,which enables the REA to absorb renewable energy.Therefore,under the framework of the game,the three can achieve their own satisfactory results.The heat price analysis is similar to the electricity price,which is not presented in this paper.
5.2.4 Analysis of LA load strategy

Fig.10.Pricing strategy optimization results of RER.
Based on the price strategy of the RER, LA adjusts its own load curve, transfers part of the electric load at the peak of power energy price to the period of low power energy price and reduces the heat load at the peak of thermal energy price, to satisfy its own energy requirements.Fig.11 depicts the game results, which indicate that the peak value of the LA load curve after the bi-level game is reduced, the valley value is raised, and the energy consumption curve is more stable.Considering the electric load as an example, it can be observed that the peak value of the LA electric load curve before the demand response appears at 11:00-12:00 and 18:00-19:00.Because the REA sells maximum energy during this period, the energy selling price is greater.Through the game strategy, the LA transfers the load during this time period to 01:00-06:00.The lower energy selling price of EPG presents a lower energy selling price of the RER.Consequently,the LA can obtain sufficient energy at a lower price.Based on the above analysis, it can be observed that through the game process of different energy traders, the energy side can reduce fluctuations of the load curve, ensure daily load stability, and improve the system stability to satisfy its own energy demand.
5.2.5 Analysis of REA optimal scheduling strategy

Fig.11.Load strategy optimization results of LA.

Fig.12.Optimization scheduling results of REA.
The RER distributes the daily demand electric heating load to each IEHS on average.Fig.12 depicts the optimal scheduling results of electricity and heat on a typical day of the REA.It can be observed that considering the lowcarbon environmental protection and low-cost characteristics of renewable energy, REA preferentially consumes its own renewable energy.Simultaneously,the internal energy interaction of multi-regional energy systems is more convenient owing to the introduction of SESS.For instance,
areas with abundant renewable energy can sell excess energy to the EPG or store it near SESS.However, it can be observed that for each IEHS, when its own renewable energy output is small, the REA must purchase the missing power from the EPG.Fig.1 2.(b) shows that to improve their own income, they first choose to consume renewable energy.This ensures that the heat energy is primarily provided by the electric heating equipment, and only a small part of the heat energy is provided by the waste heat boiler.
6 Conclusion
With the increasing importance of IES in future power systems, it is essential to consider multi-agent power market in the presence of IES participation.The proposed bilevel game model offers significant practical value by helping decision makers analyze their respective strategic problems in multi-agent interaction.The main conclusions of this study are as follows:
1) The components of modern power systems are further improved by introducing SESS on the energy supply side.Simultaneously, the introduction of SESS can make the internal energy scheduling of multi-energy system more economical, and the rational allocation of SESS can increase the overall operating income of the energy supply system by an average of 10.82 %.
2) For dynamic optimization problems, the ROOTGLHRS exhibits a better global optimization effect when compared with other ROOT algorithms.For different fitness thresholds, the average robustness of the robust solution obtained by ROOT-GLHRS is increased by 56.91 % and 68.54 % respectively,and the running time is increased by 6.50 % and 5.93 %, respectively.When compared with PSO,ROOT-GLHRS can increase the revenue of the RER, REA, and LA by 7.29 %, 5.76 %, and 12.72 %, respectively, when optimizing the scheduling of IES.
The interests of each participant are not limited to a single aspect with the increasing number of participants in the energy system.In future works, we aim to use ROOTGLHRS to solve the multi-pursuit problem under complex conditions.Furthermore, we intend to analyze the role of SESS in improving power quality.
CRediT authorship contribution statement
Bo Zhou: Writing - review & editing, Writing - original draft, Project administration, Methodology, Investigation.Erchao Li: Writing - review & editing, Supe rvision,Project administration, Methodology.Wenjing Liang: Writing -original draft, Methodology.
Declaration of competing interest
The authors declare that they have no known competing financial interests or personal relationships that could have appeared to influence the work reported in this paper.
Acknowledgments
This work is supported by the National Nature Science Foundation of China (Nos.62063019).Natur al Science FoundationofGansuProvince(22JR5RA241,2023CXZX-465).
References
[1]H.C.Feng, Y.J.Hu, C.J.Li, et al., Rolling horizon optimisation strategy and initial carbon allowance allocation model to reduce carbon emissions in the power industry: case of China,Energy 277(2023) 127659.
[2]C.S.Wang, C.X.Lv, P.Li, et al.,Modeling and optimal operation of community integrated energy systems: a case study from China,Appl.Energy 230 (2018) 1242-1254.
[3]H.C.Liu, Z.Geng, Y.J.Gu, et al., A regional integr ated energy system with a coal-fired CHP plant, screw turbine a nd solar thermal utilization: scenarios for China, Energ.Conver.M anage.212 (2020) 1128 12.
[4]M.Wang, H.Yu, R.Jing, et al., Combined multi-objective optimization and robustness analysis framework for building integrated energy system under uncertainty, Energ.Conver.Manage.208 (2020) 112589.
[5]Q.Lu, L.J.Chen, S.W.Mei, Typical applications and prospects of game theory in power system, Proc.CSEE 34 (29) (2014) 5009-5017.
[6]S.W.Mei, W.T.Guo, Y.Y.Wang, et al.,A game model for robust optimization of power systems and its application, Proc.CSEE 33(19) (2013), 47-56, 20.
[7]A.Kavousi-Fard, W.C.Su, T.Jin, et al., Two-stage stochastic operation framework for optimal management of the waterenergy-hub, IET Gener.Transm.Distrib.13 (22) (2019) 5218-5228.
[8]A.Y.Yoon, Y.J.Kim, S.I.Moon, Optimal retail pricing for demand response of HVAC systems in commercial buildings considering distribution network voltages, IEEE Trans.Smart Grid 10 (5) (2019) 5492-5505.
[9]G.Q.Li, R.F.Zhang, T.Jiang, et al., Security-constrained bi-level economic dispatch model for integrated natural gas and electricity systems considering wind power and power-to-gas process, Appl.Energy 194 (2017) 696-704.
[10]L.Z.Wu, C.C.Wang, W.Chen, et al.,Research on the bi-layer low carbon optimization strategy of integrated energy system based on Stackelberg master slave game, Glob.Energy Interconnect.6 (4)(2023) 389-402.
[11]H.R.Yan, H.J.Hou, M.Deng, et al., Stackelberg game theory based model to guide users’ energy use behavior, with the consideration of flexible resources and consumer psychology, for an integrated energy system, Energy 288 (2024) 129806.
[12]M.J.Zhang, J.H.Yang, P.S.Yu, et al., Dual-Stackelberg gamebased trading in community integrated energy system considering uncertain demand response and carbon trading, Sustain.Cities Soc.101 (2024) 105088.
[13]H.Y.Wang, C.H.Zhang, K.Li, et al., Distributed coordinative transaction of a community integrated energy system based on a tri-level game model, Appl.Energy 295 (2021) 116972.
[14]Z.M.Li, L.Wu, Y.Xu, et al., Distributed tri-layer risk-averse stochastic game approach for energy trading among multi-energy microgrids, Appl.Energy 331 (2023) 120282.
[15]S.Mohseni, A.C.Brent, S.Kelly, et al., Demand responseintegrated investment and operational planning of renewable and sustainable energy systems considering forecast uncertainties: a systematic review, Renew.Sustain.Energy Rev.158(2022)112095.
[16]S.J.Huang, H.Lu, M.Z.Chen, et al., Integrated energy system scheduling considering the correlation of uncertainties,Energy 283(2023) 129011.
[17]Y.M.Ma, H.X.Wang, F.Hong, et al.,Modeling and optimization of combined heat and power with power-to-gas and carbon capture system in integrated energy system, Energy 236 (2021) 121392.
[18]J.Mitali, S.Dhinakaran, A.A.Mohamad,Energy storage systems:a review, Energy Storage Sav.1 (3) (2022) 166-216.
[19]J.J.Tan, Y.Li, X.P.Zhang, et al., Operation of a commercial district integrated energy system considering dynamic integrated demand response: a Stackelberg game approach,Energy 274(2023)126888.
[20]Y.L.Wang, Z.Liu, J.Y.Wang, et al., A Stackelberg game-based approach to transaction optimization for distributed integrated energy system, Energy 283 (2023) 128475.
[21]X.Yu, Y.C.Jin, K.Tang, et al., Robust optimization over time: a new perspective on dynamic optimization problems, in:Proceedings of IEEE Congress on Evolutionary Computation,Spain, Barcelona, IEEE, 2010, pp.1-6.
[22]Y.C.Jin, K.Tang, X.Yu, et al., A framework for finding robust optimal solutions over time, Memet.Comput.5 (1) (2013) 3-18.
[23]H.B.Fu, B.Sendhoff, K.Tang, et al., Finding robust solutions to dynamic optimization problems, in:Proceedings of Applications of Evolutionary Computation,Berlin,Heidelberg,2013,pp.616-625.
[24]N.Liu, L.He, X.H.Yu, et al.,Multiparty energy management for grid-connected microgrids with heat- and electricity-coupled demand response, IEEE Trans.Ind.Inf.14 (5) (2018) 1887-1897.
[25]P.Novoa-Herna´ndez, D.A.Pelta, C.C.Corona, Approximation models in robust optimization over time - an experimental study,in: 2018 IEEE Congress on Evolutionary Computation (CEC),Brazil, Rio de Janeiro, IEEE, 2018, pp.1-6.
[26]D.Yazdani, T.T.Nguyen, J.Branke, Robust optimization over time by learning problem space characteristics, IEEE Trans.Evol.Comput.23 (1) (2018) 143-155.
Received 12 June 2024;revised 5 November 2024; accepted 26 November 2024
* Corresponding author.
E-mail addresses: zhoubo@lut.edu.cn (B.Zhou), lecstarr@163.com(E.Li), 1360738841@qq.com (W.Liang).
https://doi.org/10.1016/j.gloei.2024.11.018
2096-5117/© 2025 Global Energy Interconnection Group Co.Ltd.Publishing services by Elsevier B.V.on behalf of KeAi Communications Co.Ltd.
This is an open access article under the CC BY-NC-ND license (http://creativecommons.org/licenses/by-nc-nd/4.0/).

Bo Zhou received M.S degree at Lanzhou University of Technology, Lanzhou, China, in 2017.He is currently pursuing the doctor’s degree from Lanzhou University of Technology, Lanzhou.His main research interests are integrated energy optimization scheduling and robust optimization.

Erchao Li received M.S.degree at Yanshan University, Qinhuangdao, China, in 2005, and the Ph.D.degree at Lanzhou University of Technology, Lanzhou China, in 2011.He is a professor and Ph.D.supervisor in the College of Electrical and Information Engineering.His current research interests include dynamic optimization and robust optimization.

WenjingLiang received B.S.degree at Yanan University, Yanan, China, in 2022.She is currently pursuing the master’s degree from Lanzhou University of Technology, Lanzhou.Her main research interests are dynamic robust optimization and optimization scheduling.