0 Introduction
With the development of distributed energy resources(DERs) and power markets, power distribution networks are undergoing changes in power generation and trading styles [1,2].Independent microgrids (MGs) are generally owned by individual stakeholders.In this context, peerto-peer(P2P)energy trading is novel and efficient in reducing operational costs, shaving peak loads, maximizing social welfare and investment costs, and has emerged as a next-generation energy management method [3-6].P2P realizes MGs trading with other MGs independently and in self-interest, using which the MGs determine the deal price and amount, thus enhancing the enthusiasm of energy trading for each stakeholder[7,8].The active distribution network(ADN)upstream of the MGs is a physical electric network that focuses on safe network operation constraints.Moreover, ADN is characterized by a complex and variable operation status; thus, the influence of P2P trading on ADN operations is severe.In this study,a co-optimization method for P2P energy trading and network operation is proposed for an ADN coupled with multi-MGs,where the electricity trading price and amount between MGs are determined with the optimal operation of the ADN in a distributed manner.

Various efforts have been made to design a P2P energy trading market paradigm.Ref.[9] analyzed the relationship between the energy trading and network service fees,and presented a pricing strategy that considered these two factors.Ref.[10] proposed a scalable energy-management mechanism for P2P trading.As the P2P energy trading of multiple microgrids(MMGs)in distribution network markets is a typical multi-stakeholders decision-marking problem, game theory, specifically, cooperative and noncooperative games, is effective in obtaining solutions[11,12].Ref.[13] constructed a cooperative game model for MMGs to incentivize individual MGs to participate in energy trading.Ref.[14]constructed a coalitional game model based on the nucleolus method and a Shapely value to achieve a stable and fair payofffor all entities within an integrated energy system.Ref.[15] proposed a Nash bargaining method that can drive distributed generation to actively participate in P2P energy trading.Unlike cooperative games, the non-cooperative game method does not require a benefit redistribution procedure.In Ref.[16], a Stackelberg game method for trading between the MG and distribution system operator (DSO) was proposed,and the maximal benefits of all trading participants were realized.However,the central coordinator plays an important role in the Stackelberg game because each follower can only accept the price set by the game leader without bargaining rights.In addition, it is difficult to create an incentive price in a master-slave game model.Moreover,the above game method requires information such as the operation status, power generation plan, and system parameters for decision determination, and the privacy of each stakeholder cannot be guaranteed.
In contrast to centralized noncooperative game methods,such as the Stackelberg game,distributed noncooperative games, including the multilead multifollower game[17] and the generalized Nash game [18], have been employed in energy trading.The multileader,multifollower game method was proposed in Ref.[17], demonstrating that privacy is protected in a distributed noncooperative game.Ref.[18] formulated the energy-sharing problem as a Nash game model and proved the existence of a game equilibrium by considering the capacity constraints.Ref.[19]proposes a bilateral Nash game method for P2P energy trading to improve producer profits, which also encouraged producers to participate in energy trading.The aforementioned methods are all realized via a distributed noncooperative game structure, in which all the participants have rights to price and amount determination.Thus,there are no concerns about incentivizing stakeholders in energy trading, while the budget balance is achieved effectively.Moreover,the privacy of each individual participant is well protected, as only rare information about energy trade price inquiries and amount requirements is required.However, the aforementioned studies focused on the economic aspects of energy trading while neglecting the maintenance of network operations.The power grid is a physical network,and energy decisions are not applicable when operation constraints are not satisfied.
In terms of these issues, the optimization-based P2P energy trading method can satisfy the network operation constraints, because the energy trading decisions are obtained via model construction considering the corresponding constraints.Ref.[20]formulated the MG energy management problem as a mixed-integer problem considering the load type, and utilized a distributed algorithm to solve the problem in parallel.In Ref.[21], a transactive energy control method for networked MGs was proposed,and an iterative auction price-biding method was presented to protect private information.Moreover, Ref.[22] proposed a bi-level model to coordinate the energy trading of prosumers and distribution network operations.The upper level of the model aims to maximize the cost of distribution network operators, whereas the lower level aims to maximize the interests of prosumers.Ref.[23]proposed an energy-trading architecture for EVs that considered the physical network constraints.Ref.[24]proposed a novel framework that combined distribution network reconfiguration and MMG P2P energy trading simultaneously.Ref.[25] proposed the Vickrey-Clarke-Groves mechanism that simultaneously satisfies the interests of prosumers in P2P transactions and the operational network constraints of the distribution network.
In this study, a coordinated optimization method for P2P energy trading and network operation is proposed for an ADN integrated with MMGs, which incentivizes the MGs to trade energy in the P2P scheme and determines the operation decisions for the ADN.The contributions of this study are summarized as follows:
1) A two-stage operational framework that combines MMG P2P energy trading and ADN operation is proposed, and these two levels are coordinated optimally via an iterative procedure.
2) For MMG P2P energy trading in the first stage, an incentive energy trading method based on Nash bargaining is proposed.An energy management model is established to formulate the problem in mixedinteger programming, and a distributed solution method based on alternating direction method of multipliers (ADMM) is proposed.
3) For the ADN operation considering MMG P2P energy trading in the first stage, an iterative procedure with safety checking and decision determination for energy trading is proposed.Based on this iterative procedure, the coordination between energy trading and ADN operations is guaranteed.
The remainder of this paper is organized as follows.In Section 1, the two-stage operational framework for an ADN coupled with MMGs is presented.Section 2 presents Nash bargaining-based P2P energy trading for MMGs.Section 3 presents the mathematical model of the ADN operation and the solution method.In Section 4, the numerical results of tests on a four-MG system and the modified IEEE 123-bus test system are presented.Finally,conclusions are drawn in Section 5.
1 Coordinated energy trading and network optimization framework
Each independent MG is operated by an MG operator that pursues a commercial profit.Physically, each MG integrates distributed resources such as photovoltaic(PV),wind turbines(WTs),battery storage systems(BSSs),and microturbines (MTs).Each MG connects with the others and the ADN via tie-lines, and energy trading can be executed not only between MGs, but also among MGs and the DN.The ADN is also an important platform for DER consumption, and PVs are installed in the network.Moreover, to demonstrate active energy trading,only reactive power device control is considered in the ADN operation.During this period, physical network constraints,such as power transmission and voltage safety,are guaranteed by regulating the controlling devices and adjusting the energy-trading decisions.
In this framework, P2P energy trading among MGs is executed in the first stage, and final market clearing and network operations are conducted in the second stage.In the first stage, a cooperative game model based on Nash bargaining is established, and a distributed algorithm is developed for privacy preservation.Based on this method,individual profit pursuit is guaranteed for each MG operator, as all the participants consult with each other to determine the energy trading amount and price, which helps maintain incentives for all game participants.Moreover, the developed distributed algorithm only requires rare boundary information between different participants and does not require the operation or network information within each stakeholder, thus preserving privacy effectively.During the second stage of the ADN operation,all the MGs submit the P2P energy trading results to the DN operator; then, the DN operator handles the MGs’energy trading requirement as an equivalent load.Considering the equivalent load, the ADN network operation is implemented to optimize the decisions of controllable devices, for example, on-line tap changer (OLTC), capacitor bank (CB), and PV inverters.Moreover, at this level,P2P trading decisions are checked to see if they satisfy the ADN operational safety conditions.If they are satisfied,the P2P trading decisions are confirmed, and the scheduling decisions of the ADN are obtained in a coordinated manner.Otherwise, the adjustment amount is returned,and trading decisions are renewed accordingly.Therefore,the scheduling decisions of the ADN and P2P trading decisions are optimized in a coordinated manner, and safe operation of the MGs and ADN is guaranteed.
2 Lower layer for MMG energy trading
The first stage was designed to optimize the P2P energy trading decisions between MGs while maintaining the device dispatch decisions.Subsequently, a cooperative game model based on Nash bargaining was established and a distributed algorithm that can protect the privacy of each MG was designed.
2.1 MG energy management model
The MG studied here can freely trade with other MGs or the ADN to gain commercial profits or obtain energy support.For each MG, the power surplus or deficiency is based on the energy management results,and the energy management model is established as follows.


The operational cost of the MG is given by Eq.(1),which comprises power-trading costs, as shown in Eq.(2); the operational cost of the BSS, as shown in Eq.(3);and the operational cost of the MT, as expressed in Eq.(4).As shown in Eq.(2),the power-trading costs are equal to the power-deficiency purchase cost minus the surplus power revenue.Eq.(5) represents the power balance constraint for the MG because the sum of power purchase and generation is equal to the sum of power consumption and power sales.Eq.(6)illustrates the BSS operation constraints,which include power charge and discharge limitations; power charge and discharge cannot occur simultaneously.Eq.(7) limits the state of charge (SOC)to avoid overcharging or overdischarging, which reduces the cycle life of the BSS.Each MG can trade with other MGs or DSs to increase profits and reduce costs.Moreover,the trade power flow on the tie lines should be limited if overcapacity is encountered, as denoted in Eqs.(8) and(9).
2.2 Cooperative game model for MG P2P trading
In this study,the MGs trade freely with each other.It is assumed that the electricity price for MMG trading is lower than that from the ADN and higher than the selling price to the ADN.Then,the seller MG can gain more revenue by trading with the buyer MG than by trading directly with the ADN.The buyer MG can also buy the required electricity from other MGs at a lower cost than from the ADN.Thus, P2P energy trading improves the revenue for each participant.
However, multiple MGs usually have a power surplus or power deficiency simultaneously.Then, during P2P energy trading, if one seller MG modifies the electricity price to increase its own revenue, other sellers will also modify the price.Thus, electricity purchase costs will also increase.During the entire dispatch time horizon, MGs can act as sellers or buyers at different time slots on installation resources.If one MG has the right to modify the electricity price, stable P2P trading cannot be achieved.In this study, the MG energy trading price is determined by negotiation, and the P2P trading problem is formed as a cooperative game model.
Let N:={1, 2, , N} denote a finite set of gameplayers.Power sellers can then form a seller coalition, and buyers can form a buyer coalition.The game procedure is conducted between these two coalitions, and the power balance between P2P trading can be illustrated as follows:

It should be noted that if the power provided by the seller coalition
is lower than the power required from the buyer coalition
,then Eq.(10)is satisfied.Otherwise,Eq.(11) is satisfied.
The price of electricity is closely related to the benefits to cooperative gamers.When
, the sellers can sell only
.If the electricity price released by a certain seller MG-i is lower than that of other MGs, the buyers choose to trade with MG-i and the revenue of other sellers is impacted.Following this, all sellers decrease the price and a cooperative procedure is conducted.Correspondingly, if
, buyers can increase the electricity price to buy more electricity from sellers,which leads to competition between buyers and destroys the balance in MMG P2P energy trading.
A Nash bargaining model for MMGs was formulated to characterize the cooperative game relationships among the MMGs.The specific model is as follows:

The Nash bargaining model for MMGs is a nonlinear and nonconvex problem; therefore, it is commonly addressed by transforming it into two sub-problems that are solved sequentially.By solving Subproblem 1, a cooperative game strategy for the MMGs was obtained.By solving Subproblem 2, an optimal benefit allocation for the MG alliance is achieved.
Subproblem 1: Cost optimization of MG cooperative alliances

Subproblem 2: Optimal profit distribution of MG alliance

The objective function of Subproblem 2 is transformed into a linearized form, as shown in Eq.(15) through logarithmic transformation.

3.3 Distributed solution method
In this study, a distributed ADMM capable of protecting the privacy of individual MGs is employed to solve the problem of optimizing coalition benefits (Subproblem 1)and coalition profit allocation(Subproblem 2)in the Nash bargaining model of MMGs.Next,we introduce the solution process for Subproblem 1.
Based on the objective function of Subproblem 1, the Lagrange multipliers
and penalty functions ρ are introduced to construct the augmented Lagrange function for Subproblem 1.The Lagrange function is expressed as

Using the above augmented Lagrange function, the objective function of the subproblem of optimizing coalition benefits is decomposed to enable local solutionseeking for Subproblem 1.The steps for solving the model are as follows.
Step 1: Initialization: Set iteration index k, convergence tolerance ε, Lagrange multipliers
, penalty functions ρ,and transaction power between MGs
.
Step 2: Update the decision variables: The feasible regions of each MG are completely independent;therefore,the interactive power between MG-i and MG-j is updated using Eq.(17).
The interactive power between MG-j and MG-i is updated using Eq.(18).
Step 3: Update the Lagrange multipliers: Update the Lagrange multiplier
using Eq.(19).
Step 4: Convergence check: If the condition
is satisfied, terminate the iteration and output the optimized results; otherwise, set k = k + 1 and go to Step 2.
The solution process for Subproblem 2 is analogous to that of Subproblem 1; therefore, the solution process for Subproblem 2 is not elaborated here.
3 Upper level for ADN operation
This section introduces the distributed ADN operation method based on the P2P energy trading decisions of MGs.The electricity trading requirements from the MGs to the ADN are formulated as equivalent loads during the ADN operation.The corresponding energy trading decisions are then tested even after adjustment in the second stage, while the ADN operation strategies are also optimized.
3.1 ADN operation model based on MG trading decision
An ADN operational model is constructed in a distributed manner.The ADN operator always focuses on the economy and safety of the network operation; thus,the safety verification,and adjustment of trading decisions between the MG and ADN,as well as the ADN operation decisions, are simultaneously determined and optimized.
In this study,an ADN operation model is established to reduce integrated costs (for example,power losses, buying and selling costs, and trading adjustments) by regulating controllable devices in the ADN.The objective function is then expressed as
Moreover, the corresponding constraints are as shown below:


3.2 Interaction procedure between trading and operation
The interaction procedure was designed to optimize the trading between multi-MGs and the operation of the ADN in a coordinated manner.Power trading between each MG and the ADN,for example,
and
,as the medium to connect these two procedures, is optimized in this procedure.The operation decision for the ADN and the trading decision between the MGs are highly coupled with this power trading.Moreover, the safe operation of the ADN was ensured.If power trading satisfies the safe operation of the ADN, the trading decisions are determined and the operation decisions are optimized accordingly.Otherwise, the power-trading decisions
and
are regulated in steps to satisfy the safe operation requirements of the ADN, whose operation decisions are also renewed accordingly.
The interaction procedure is implemented using an iterative process, and the details are as follows.
Step 1: Initialization: Initialize the ADN network operation status.Each MGO submits its trading request to the DSO as
or
individually,and the trading request is considered as the load of the coupling point between the MG and ADN.
Step 2: ADN Operation Problem Solving: The ADN operator solves the operational problem expressed in Eqs.(20) (42);
Step 3: Operation Safety Verification: If the trading decisions satisfy the ADN operation requirement, the adjustment ΔEi t equals zero, and then the operation decisions for the MG and trading decisions among the MGs are also determined.
Step 4:Energy Trading Adjustment:If ΔEi t≠0,the trading decisions do not satisfy the ADN operation requirement, and then, Eq.(5) can be rewritten as follows:

Step 5: MMGs’ Energy Trading Decision Renewal: The MMGs’energy trading is renewed via the distributed solution method in Section 3.3 and Step 1 is repeated.
4 Case studies
To verify the effectiveness of the proposed method,case studies were conducted using an IEEE 123-bus test system coupled with four MGs.The four MGs are connected via six tie-lines that provide a P2P energy-trading channel.Numerical simulations were conducted using MATLAB 2020a.YALMIP and GUROBI were used as solvers(Tables 1 and 2).
4.1 Test system description
The test system is an IEEE 123 bus system coupled with four MGs,as shown in Fig.1.For the MGs,the PV,WT,ESS, and MT were installed, whereas for the DN, an OLTC,CBs,and PVs were installed to modify the test system.The device operation parameters and electricity price for the DSO are as per Ref.[21].The WT, PV, and load curves are shown in Fig.2.
4.2 First-stage cooperative game based P2P energy trade
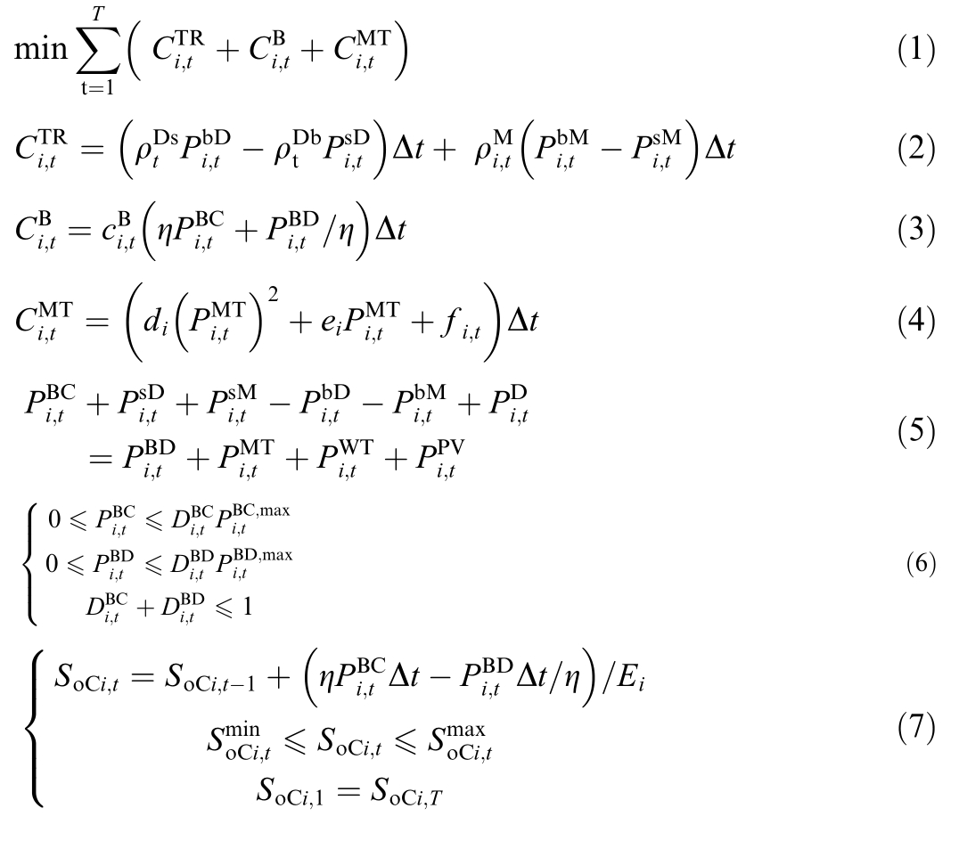
The cooperative game model and distributed solution method were first tested via the four MMGs.Because the installed energy-trading resources and load consumption requirements are different for each MG, P2P energy trading occurs among the four MGs to improve commercial profits based on the space-time complementary properties.Based on the distributed algorithm, the energytrading iteration procedure at is shown in Fig.3, and the energy-trading decisions for each MG in the time dispatch horizon are shown in Fig.4.
From Fig.3, it can be observed that the distributed algorithm converged in 32 iterations,indicating high effectiveness.In Fig.4, Pij represents the P2P transaction volume between MG-i and MG-j.When it is positive, MG-i sells electrical energy to MG-j, and when it is negative,MG-i purchases electrical energy from MG-j.It can be seen that all MGs prefer to trade with other MGs first,as the electricity prices of MG trading are higher than that of electricity sold to the DSO and lower than that of electricity purchased from the DSO.Then,both the sellers and buyers gain much higher profit than by trading directly with the DSO.During the time period from 00:00 to 03:00, energy trading only occurs within the MMGs.It can be seen that MG2 buys electricity only from the other MGs but not from the DSO, which is in accordance with the proposed framework.During the time period from 4:00 am to 9:00,MG1 and MG2 only purchase electricity,which results from the WT and PV installed in these MGs not providing enough energy for load consumption.During the time period of 11:00 am to 13:00,MG1,MG2,and MG4 sell electricity to MG3 and the ADN, while only MG3 buy electricity.This is because there are fewer PVs installed in MG3 than in the others and the PVs can provide a large amount of electricity at approximately 12:00.Considering the coupling of energy trading with the network operation, the decisions for the four MG-installed devices are shown in Fig.5.
As shown in Fig.5, the ESS provides power for discharging and charging during the entire time horizon.During the time period of 00:00 to 02:00, all the ESSs operate to charge power.This is because the WT provides an amount of active power, while the price of selling electricity and the revenue from the selling power surplus are low.In comparison, during the time period of 16:00 to 18:00, all ESSs discharge to satisfy the load demand.This procedure shows that the application of an ESS helps improve the operational safety and economy.The detailed electricity purchased from the ADN or utilization of the ESS was determined based on the corresponding costs.The determined energy-trading decisions between the MGs based on the operational results of the MGs are illustrated in Fig.6.
Fig.6 shows that the MGs negotiate to achieve the optimal P2P transaction prices through Nash bargaining.The P2P transaction prices among MGs lie between the transaction prices of MGs with AND and the disparity between these two sets of prices indicates the profit margin for P2Ptransactions among MGs.Therefore, MGs prioritize transactions with other MGs within an alliance to enhance their benefits.During the time period of 14:00 to 16:00,the PV output within MGs is substantial,enhancing their bargaining leverage.Consequently, the MGs can obtain higher profits through P2P transactions during this period.Moreover, to demonstrate the superiority of the proposed method, an MG operation cost comparison between the proposed method and the traditional method was conducted, as shown in Table 3.
Table 1 Parameters of Devices in the Mgs.

Table 2 Parameters of Devices in the ADN.


Fig.1.The topology of the test system.

Fig.2.The WT, PV, and PD curves for each MG.

Fig.3.The iteration procedure for the MMG costs.

Fig.4.The energy trade decisions for the four MMGs.

Fig.5.The dispatch decisions of controllable devices for individual MGs.
The total cost of energy trading and device operation was reduced from 435.8004 to 351.3281, a 19.38 % reduction, with the proposed method.

Fig.6.Energy trading decisions between MGs.
4.3 Distribution network operation test
The proposed two-stage operation strategy for distribution networks considering MMG P2P trading is tested on the IEEE 123 bus test system coupled with four MGs.In the first stage, MMG P2P energy trading is conducted,and the required trading amount is submitted to the DSO.In the second stage, with the MMG energy trade requirements, the DSO checks whether the safe operation of the network is satisfied first.The DSO then determines the MMGs’energy trading and distribution network operation decisions,such as the OLTC,CBs,and PVs dispatch decisions.The second stage is implemented using an optimization model in an iterative procedure that guarantees the coordination of P2P energy trading and network operation.Based on the operation results of the MMGs in the previous section, the determined energy-trading decisions between the MGs and the ADN are illustrated in Fig.7.
As shown in Fig.7, the power exchange between the ADN and MGs is illustrated from the DSO’s perspective,in which a positive value denotes the ADN selling electricity to the MGs,whereas a negative values denote the ADN purchasing electricity from the MGs.During the time period of 5:00 to 9:00,the ADN sells electricity to MG1,MG2 and MG3.This is because the load demand within these MGs is higher than the renewable power generation.Although MG4 generates more power than its power consumption,it chooses to trade with other MGs to earn more commercial profit.Because the power surplus of MG4 is less than the total power surplus of the other three MGs,the other MGs still need to purchase electricity from the ADN.During the time period of 11:00 to 15:00, MG1,MG2, and MG4 sell large amount of energy to the ADN, which results from the PVs providing ample electricity.In comparison, the installed PV capacity of MG3 is low; thus, it does not have a power surplus to exchange with the ADN.It should also be noted that the PVs installed in the ADN generate a large amount of active power around noon, and the ADN faces large voltage safety risks, especially when the MGs sell electricity to the ADN.Therefore, it is important to coordinate energytrading and ADN operations of MGs.Correspondingly,Fig.8 shows the dispatch decisions of the OLTC and CBs for the distribution network, and the reactive power outputs of the PVs are shown in Fig.9.Fig.10 shows the voltage distribution of the IEEE 123 bus test system over 24 h.
Table 3 MG Operation Cost Comparison of the Proposed and Traditional Methods.


Fig.7.The energy trading decisions between MGs and ADN.

Fig.8.The dispatch decisions of OLTC and CBs for distribution network.
As shown in Fig.8,the OLTC is set to low taps during the time period of 13:00 to 15:00,which can reduce the DS voltage level when it crosses the limit.This is because the MGs sell surplus power to the ADN,whereas the PVs generate an abundant active power supply.To improve the service life of the discrete devices, the total action times were restricted to six during the entire dispatch time horizon.As shown in Fig.9,the PVs generate flexible reactive power outputs to reduce the DS operating costs and regulate the voltage.Consequently, the voltage was restricted to a safe range, as shown in Fig.10.From Figs.7 and 8,it can be seen that the power exchange between the MGs reduces the risk of voltage surges beyond the upper limits,as the superfluous power generations of MG1, MG2, and MG4 are partly consumed by MG3.Therefore, P2P energy trading within different MGs aid in the DER consumption while maintaining safe operation of the DS.
5 Conclusion

Fig.9.The reactive power output of PVs.

Fig.10.The voltage distribution of the IEEE 123 bus test system.
This paper proposes a coordinated optimal operation method for ADNs coupled with multiple independent MGs to optimally coordinate the P2P energy trading and ADN operations optimally.A P2P energy trading model for MMGs is established based on Nash bargaining theory, and a distributed algorithm is developed to solve the P2P trading model while preserving privacy.The ADN operation model is constructed by adjusting the P2P energy trading decisions, and an iterative algorithm is developed to coordinate the P2P trading and ADN operation.Numerical simulations based on the IEEE 123 bus test system demonstrate the effectiveness of the proposed method in improving the economy and safety of an ADN with MMGs.
CRediT authorship contribution statement
Peishuai Li:Writing-original draft.Yihan Wang:Writing - review & editing, Writing - original draft.Tao Zheng: Data curation.Yulong Jin: Formal analysis, Conceptualization.Weizhi Yuan: Software.Wenwen Guo:Methodology.
Declaration of competing interest
The authors declare the following financial interests/personal relationships which may be considered as potential competing interests:The authors declare the following financial interests/personal relationships which may be considered as potential competing interests: Peishuai LI,Tao ZHENG,Yulong JIN are currently employed by Nari Technology Co., Ltd.
Acknowledgments
This work was supported by the State Key Laboratory of Technology and Equipment for Defense against Power System Operational Risks Program (grant number SGNR0000KJJS2302139).
References
[1]J.Tao, H.Ting, X.Hao, F.Linbo, P.Wei, M.Tengfei, P2P transaction method for distributed energy prosumers based on reputation value,Glob.Energy Interconnect.6(3)(2023)308-323.
[2]X.Wei, J.Liu, Y.Xu, H.Sun, Virtual power plants peer-to-peer energy trading in unbalanced distribution networks: a distributed robust approach against communication failures, IEEE Trans.Smart Grid 15 (2) (2024) 2017-2029.
[3]X.Wang, P.Liu, Z.Ji, Trading platform for cooperation and sharing based on blockchain within multi-agent energy internet,Global Energy Interconnect.4 (4) (2021) 384-393.
[4]J.Bai, H.Zhou, Z.Xu, Peer-to-peer energy trading method of multi-virtual power plants based on non-cooperative game,Energy Eng.120 (01) (2023) 1163-1183.
[5]K.Zhou,H.Xing,T.Ding,P2P electricity trading model for urban multi-virtual power plants based on double-layer energy blockchain, Sustain.Energy Grids Netw.64 (01) (2024) 101444.
[6]J.T.Lee, R.Henriquez-Auba, B.K.Poolla, Pricing and energy trading in peer-to-peer zero marginal-cost microgrids,IEEE Trans.Smart Grid 13 (01) (2021) 702-714.
[7]S.Xuanyue, X.Wang, X.Wu, Peer-to-peer multi-energy distributed trading for interconnected microgrids: a general Nash bargaining approach, Int.J.Electr.Power Energy Syst.138 (01)(2022) 107892.
[8]A.M.Saatloo, M.A.Mirzaei, B.Mohammadi-Ivatloo, A robust decentralized peer-to-peer energy trading in community of flexible microgrids, IEEE Syst.J.17 (1) (2023) 640-651.
[9]A.Das, S.D.Peu, M.A.M.Akanda, Peer-to-Peer energy trading pricing mechanisms: towards a comprehensive analysis of energy and network service pricing (NSP) mechanisms to get sustainable enviro-economical energy sector,Energies 16(5)(2023)2198.
[10]B.Liu,F.Xie,L.Chai,A scalable energy management mechanism for peer-to-peer electricity market, IEEE Trans.Ind.Inf.20 (7)(2024) 9255-9265.
[11]W.Liao, F.Ao, Y.Li, Comparative study on electricity transactions between multi-microgrid: a hybrid game theorybased peer-to-peer trading in heterogeneous building communities considering electric vehicles, Appl.Energy 367(2024) 123459.
[12]R.R.Trivedi, C.P.Barala, P.Mathuria, R.Bhakar, S.Sharma,Peer-to-Peer energy trading: energy pricing using game theory models, in: 2023 IEEE IAS Global Conference on Renewable Energy and Hydrogen Technologies(GlobConHT), 2023,pp.1-6.
[13]J.Xu, Y.Yi, Multi-microgrid low-carbon economy operation strategy considering both source and load uncertainty: a Nash bargaining approach, Energy 263 (2023) 125712.
[14]Y.Wang, Z.Liu, C.Cai, Research on the optimization method of integrated energy system operation with multi-subject game,Energy 245 (2022) 123305.
[15]M.Mishra, A.Singh, R.K.Misra, D.Singh, Peer-to-Peer energy trading with active participation of distributed generation, IEEE Internet Things J.10 (23) (2023) 21076-21088.
[16]Z.Chen, F.Fan, N.Tai, Y.Hu, R.Li, Coordinated energy dispatch and flexibility support for microgrid cluster using rulebased stackelberg gaming approach,IEEE Trans.Ind.Appl.60(1)(2024) 1564-1575.
[17]M.Yu, J.Jiang, X.Ye, X.Zhang, C.Lee, S.H.Hong, Demand response flexibility potential trading in smart grids: a multileader multifollower stackelberg game approach,IEEE Trans.Syst.53(5)(2023) 2664-2675.
[18]Y.Chen,C.Zhao,S.H.Low,S.Mei,Approaching prosumer social optimum via energy sharing with proof of convergence, IEEE Trans.Smart Grid 12 (3) (2021) 2484-2495.
[19]M.Khorasany, A.Paudel, R.Razzaghi, P.Siano, A new method for peer matching and negotiation of prosumers in Peer-to-Peer energy markets,IEEE Trans.Smart Grid 12(3)(2021)2472-2483.
[20]M.N.Akter, M.A.Mahmud, M.E.Haque, A.M.Oo, An optimal distributed energy management scheme for solving transactive energy sharing problems in residential microgrids, Appl.Energy 270 (2020) 115133.1-115133.14.
[21]W.Liu, J.Zhan, C.Y.Chung, A novel transactive energy control mechanism for collaborative networked microgrids, IEEE Trans.Power Syst.34 (3) (2019) 2048-2060.
[22]A.Fakour, S.S.Jodeiri-Seyedian, M.Jalali, K.Zare, S.Tohidi, S.G.Zadeh, M.Shafie-Khah, Investigating impacts of CVR and demand response operations on a bi-level market-clearing with a dynamic nodal pricing, IEEE Access 11 (2023) 19148-19161.
[23]L.Affolabi,M.Shahidehpour,F.Rahimi,F.Aminifar,K.Nodehi,S.Mokhtari, Hierarchical transactive energy scheduling of electric vehicle charging stations in constrained power distribution and transportation networks,IEEE Trans.Transp.Electrif.9(2)(2023)3398-3409.
[24]M.Yan,M.Shahidehpour,A.Paaso,L.Zhang,A.Alabdulwahab,A.Abusorrah, Distribution network-constrained optimization of peer-to-peer transactive energy trading among multi-microgrids,IEEE Trans.Smart Grid 12 (2) (2021) 1033-1047.
[25]Y.Jia, C.Wan, P.Yu, Y.Song, P.Ju, Security constrained P2P energy trading in distribution network: an integrated transaction and operation model,IEEE Trans.Smart Grid 13(6)(2022)4773-4786.
Received 17 October 2023;revised 24 January 2025; accepted 25 January 2025
* Corresponding author at: State Key Laboratory of Technology and Equipment for Defense against Power System Operational Risks, Nari Technology Co.Ltd., Nanjing, China.
E-mail addresses: peishuai.li@njust.edu.cn (P.Li), 2435063889@qq.com (Y.Wang), zhengt_nari@163.com (T.Zheng), jinyulong@sgepri.sgcc.com.cn(Y.Jin),18935210413@163.com(W.Yuan),704836331@qq.com (W.Guo).
https://doi.org/10.1016/j.gloei.2025.01.007
2096-5117/© 2025 Global Energy Interconnection Group Co.Ltd.Publishing services by Elsevier B.V.on behalf of KeAi Communications Co.Ltd.
This is an open access article under the CC BY-NC-ND license(http://creativecommons.org/licenses/by-nc-nd/4.0/).

Peishuai Li (SM’18) received the B.E.degree in automation engineering from Qingdao University, Qingdao, China, in 2010, the M.E.degree in electrical power system and its automation from Shandong University, Jinan, China, in 2013, and the Ph.D.degree in electrical engineering from Southeast University, Nanjing,China, in 2019.From October 2017 to October 2018, he was a visiting Ph.D.student with the University of New South Wales.He is currently a Lecturer with the Nanjing University of Science and Technology.His research interests include power system operation, active distribution networks, microgrid, and application of optimization theory in these areas.

Yihan Wang received the B.E.degree in electrical engineering and automation from North China University of Water Resources and Electric Power,Zhengzhou,China,in 2022,and the M.E.degree in electrical engineering from Nanjing University of Science and Technology,Nanjing, China, in 2025.Her research interests include virtual power plant trading and operation.

Tao Zheng received the B.E.degree in water conservancy and hydropower engineering from Huazhong University of Science and Technology, Wuhan, China, in 2000, and the M.E.degree in electrical power system and its automation from the same university in 2003.He is currently working at NARI Technology Co., Ltd.His research interests include virtual power plants, electricity markets, and demandside management.

Yulong Jin received the B.E.degree in energy and power engineering from Southeast University, Nanjing, China, in 2017, and the M.E.degree in power engineering and engineering thermophysics from Tsinghua University, Beijing, China,in 2019.He is currently working at NARI Technology Co., Ltd.His research interests include virtual power plants,electricity markets, and demand-side management.

Weizhi Yuan received the B.E.degree in electric engineering and its automation from Shanxi University, Taiyuan, China, in 2022.He is working towards the M.E.degree in electrical engineering at Nanjing University of Science and Technology, Nanjing, China.His research interests includes optimal operation of distribution networks.

Wenwen Guo received the B.E.degree in electrical power system and its automation from North China University of Water Resources and Electric Power University, Zhengzhou,China, in 2023.She is working towards the M.E.degree at Nanjing University of Science and Technology University, Nanjing, China.Her research interests includes virtual power plant market game optimization.