0 Introduction
Owing to the increasing concern of environmental issues, renewable energy sources, particularly wind and photovoltaic (PV) power generation systems are being increasingly implemented in power systems [1-3].The existing grid-connected wind and PV generation systems typic ally employ phase-locked loop (PLL) modules to track the phase angle of the bus voltage [4].PLLs exhibit the characteristics of the current sources and demonstrate weak or no inertia[5].Conversely, the wind and PV generation systems cannot perform active frequency regulation when ope rating in the maximum power point tracking(MPPT) mode [6].Thus, the power system frequency stability continuously declines, thereby causing power system blackouts in recent years [7,8].
To enhance the power system frequency stability,the current grid codes for the wind and PV generation systems specify the standards for primary frequency control[9-12].For instance, the static regulation parameters, such as the deadband, frequency droop, amplitude limiting, and the dynamic performances under frequency step test, including the lag time, rise time, regulation time, and steady-state power deviation,are specified in China[12].The grid codes require the wind and PV stations to be equipped with energy storage with a capacity ratio of not less than 5%in China[13].This ensures the reliability of frequency control and avoids excessive frequency regulation reservation that causes the curtailment of the wind and solar power sources.Compared to wind and solar generation systems, energy storagee xhibits fast rampingand high controllability,which presents the wind and PV stations with a greater ability to participate in power system frequency control[11].
Considering investment costs, the capacity of storage in the wind and PV stations is limited.During operations, the storage also participates in various control functions,such as output power smoothing, peak shaving, and automatic generation control (AGC) [14].Thus, the coordination of the wind, PV, and energy storage in frequency regulation reserve is crucial [15].
The frequency control method is analyzed extensively at the single generator level.The droop control simulat es the primary control characteristics of synchronous generators[16,17].Virtual inertia control is achieved by controlling the kinetic energy of wind turbine rotors[18].The comprehensive frequency control integrates the overspeed and pitch angle co ntrols to enhance the control capability under different wind speeds[19].Some previous studies have optimized the active power control strategy of wind turbines,which are constrained by not triggering the secondary frequency drop[20].However, the aforementioned studies follow the frequency control framework of the synchronous generator, which contains inertia response and primary frequency control.This framew ork fails to comprehensively exploit the advantages of flexibility and rapid ramping of inverter-based generation[21].Furthermore, the frequency control capability of a single wind or PV unit is limited when the unit is operated in a non-reserve state.At the power station level, a rapid frequency support method was proposed for PV-storage systems in [22] to better utilize the active bidirectional regulation capabil ity of energy storage.In [23] an d [24], the primary frequency control coefficients of wind-storage systems based on the model predictive control and fuzzy-logic theories were optimized.
Previous studies primarily focused on optimizing the inertia and droop control parameters and simply sharing the control commands to the individual wind, PV, and storage units.The impact of reserving the primary frequency control backup on the station economic operation was not considered.Add itionally, the output amplitude limiting and delays in the station-level frequency control were also not considered, failing to reflect the frequency control performance of field wind PV storage stations.
Furthermore, existing research and grid codes determine the dynami c performance of the station-level frequency control based on the ideal frequency-step disturbance, which is designed for offline testing.However,ideal disturbances do not exist in field power systems.For instance, in China, following the bipolar black of a highvoltage direct current (HVDC) transmission line, the frequency of the East China power grid exhibits complex dynamics, which rapidly drops to 49.56 Hz and gradually recovers to 49.7 Hz [25].Therefore, the regulation contribution to the online frequency dynamics following the field disturbances must be analyzed instead of focusing on the dynamic performance indicators.Furthermore, reasonable performance indicators that quantify the station’s frequency control contribution following power system field disturbances must be established, thereby ensuring both the system frequency stability and station regulation ability.This helps in characterizing the online regulation contribution of wind PV storage power stations.
The online regulation contribution of the station is determined by both the station frequency control logic and frequency at the point of connection (POC), which corresponds to the grid side characteristics.Thus, a dynamic model must be constructed to describe the frequency dynamics at POC to calculate an optimized online control command.During the power system prim ary frequency response, the spatial differences in the frequency are typically negligible.The system frequency can be represented by the frequency of the center of inertia (COI).The COI frequency dynamics can be characterized by the system frequency response (SFR) model [26,27].To consider the impact of the governor’s dead-band and output limiter, the SFR model is discretized in the time domain in [28] and [29], which helps in approximating the system frequency dynamics through a set of nonlinear algebraic equations.The discretized frequency dynamics enables embedding into the mixed integer linear programming(MILP) optimization of power system operations.However, previous studies conducted on modeling the station dynamics only consider the dynamics of a single wind turbine or PV unit and multiply the capacity to the station scale.However,these studies have not focused on the field calculation of the control commands,station-scale control delay, and discrete control cycles.
In this study, we proposed a frequency regulation reserve optimization method for the wind PV storage power station, which comprises a standard configuration with one wind farm, one PV farm, and one storage system.Reserve optimization involves setting the operating point based on the frequency disturbance condition and power limitations of the station to ensure economic operation and frequency stability of the power system.To the best of our knowledge, this is the first study that considers frequency regulation contribution under online frequency dynamics in reserve optimization.The major contributions of this study are as follows:
1) A frequency regulation model for the wind-PVstorage power station considering grid frequency coupling is constructed.The field control logic is considered to precisely represent the station dynamics.The system frequency dynamics at the station’s POC are embedded in the station model to optimize the station reserves based on online frequency dynamics.
2) An equivalent benchmark governor is introduced to evaluate the online regulation performance of the station to overcome the limitations of static frequency reserve settings.The regula tion contribution of the benchmark governor during the entire frequency control process is quantified through online evaluation indexes.
3) The station frequency reserve optimization model is constructed, where the discretization and innerouter linearization techniques are employed to render a solvable model.The proposed method was validated based on the field data.The regu lation coordination in the wind, PV, and storage units,which have different dynamics characteristics, was performed.The station operation income was significantly improved.
1 Station frequency regulation model considering grid frequency coupling
We analyzed the wind-solar-storage power station with station-level frequency control in this study.Fig.1 depicts the field topology of the station.The electric connection and communication of the control command are represented in black and blue, respectively.Fig.1 also depicts the typical transmission laten cy in communication.

Fig.1.Schema of field wind-PV-storage power station.
During a frequency control process, the station-level frequency controller initially performs the POC frequency measurement, f.The frequency control commands,u W, uP,and uSfor the wind farm,PV farm,and storage system are calculated based on the embedded program in the stationlevel controller.Subsequently, the commands are allocated to the next-level actuator, i.e., the energy management system (EMS) for the wind farm, the data acquisition platform (DAP) for the PV farm, and the coordination control device for the storage system.Finally, the individual wind turbine, PV unit, and storage unit receive the control commands and adjust their output powers.Consequently, the active powers,P W, PP, andPS, of the wind farm, PV farm, and storage system vary.Thus, the POC active power,PPCC, was regulated.
In Section 2.1, we establish the station frequency regulation model, considering the field conditions.In Section 2.2, we introduce the frequency coupling at the station POC to characterize the station regulation contribution to the system online frequency dynamics.In Section 2.3, the overall model is discretized to facilitate quantitative optimization.
1.1 Station frequency regulation model
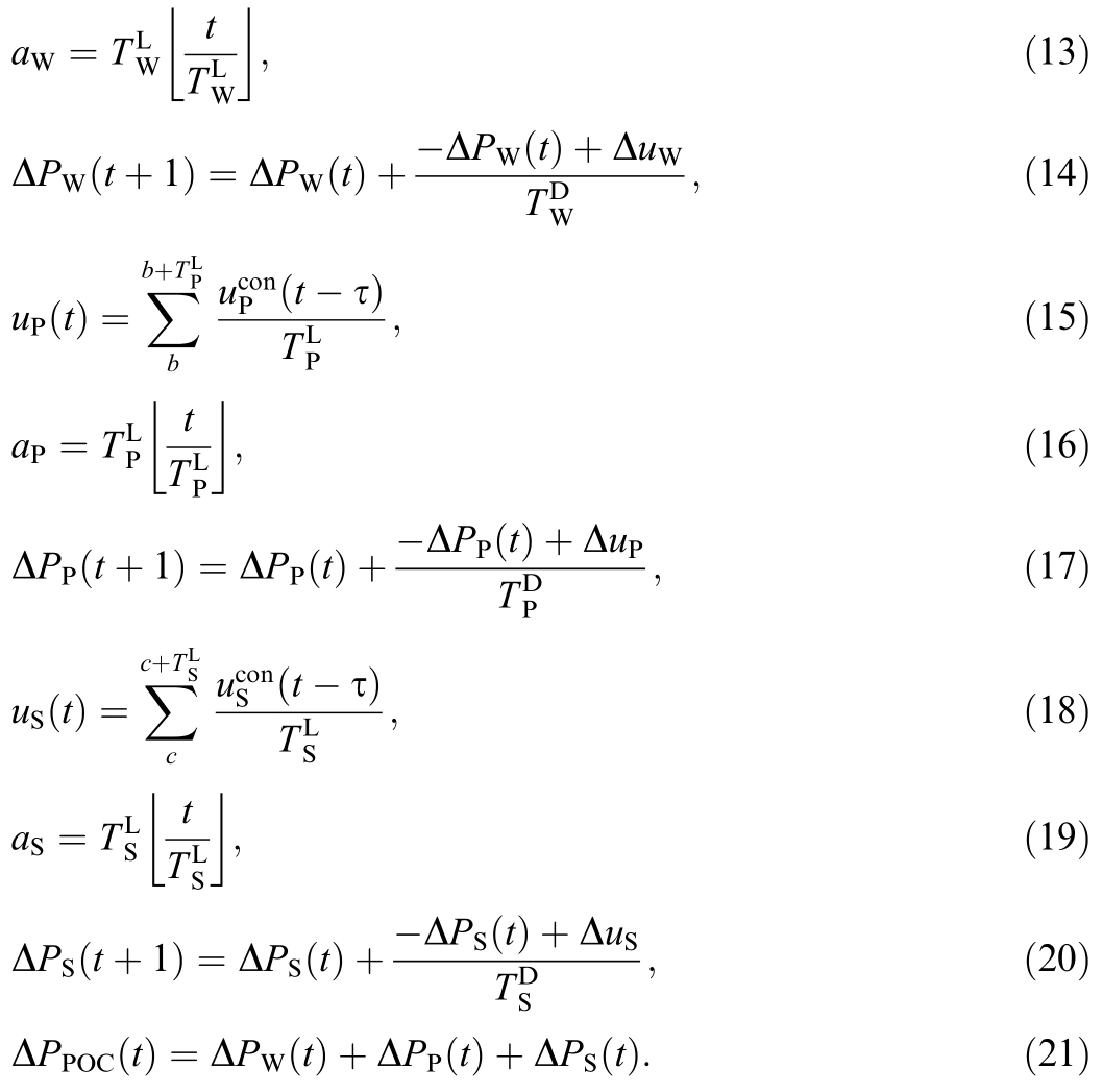
Ideally, the frequency regulation control command of the station frequency regulation is expected to be generated in a time-continuous manner, based on the measured frequency at the station’s POC.In the field situation, the control command is time discrete owing to the communication latency and the existence of hardware cycles in the controllers.The discrete commands received by the wind farm, PV farm, and storage system can be considered as the temporal average of continuous commands as follows:

where the subscripts withW, P,andS represent the wind,PV, and storage, respectively;
denotes the discrete frequency regulation commands received by the wind farm, PV farm, and storage system, respectively; accordingly ,
indicates the continuous commands generated by the station-level controller using droop control;τRrefers to the communication latency from the stationlevel controller to the wind turbine, PV unit, storage unit;
denotes the execution cycle in controllers;
indicates the starting time for spatial-averaging calculation; the symbol
refers to the round down operation, indicating the averaging calculation from the
-th execution cycle following the start of frequency regulation.
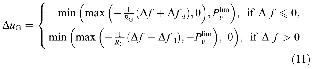
When the commands are received by the wind turbine,PV unit, and storage unit, a first-order lag is used to approximate the dynamic res ponse of farm power output[13] as follows:

where
, and
denote the response time for the wind turbine, PV unit, and storage unit, respectively,defined as the power response times when applying a frequency regulation command[30]; Δ PW, Δ PP, and Δ PSindicate the variations of the active power outputs, P W ,PP,andPS,respectively.Based on (3)-(5), the active power variation at the station POC can be expressed as follows:
1.2 Online frequency coupling at station POC
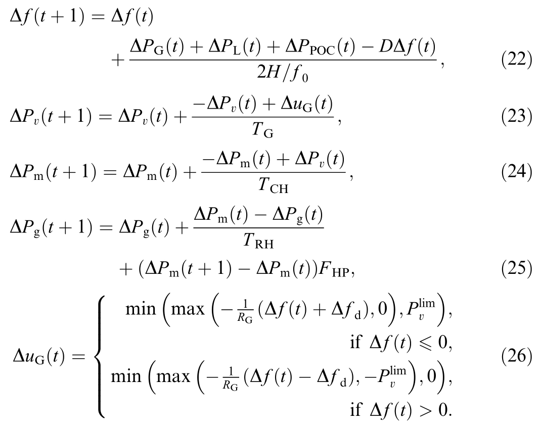
The dynamic performance indexes, such as the power lag time and response time in the existing grid codes, only enable the renewable gene ration stations to satisfy the frequency regulation performance under frequency-step disturbances [12].The online frequency dynamics reflected at the station POC must be considered as the reference for the station’s participation in frequency regulation.From the perspective of the system’s COI, the postdisturbance frequency dynamics at the station POC can be modeled as follows:
wheref0andΔfdenote the nominal frequency and frequency deviation at the station POC;D an dH indicate the system total damping and inertia constant, respectively; ΔPL represents the disturbed active pow er;ΔPG refers to the total active power adjustment of all the primary-frequency-controll ed generators in the power system, excluding the studied station.In a series-coupled manner, the dynamics of the equivalent turbinegovernor, i.e.,ΔPG, can be modeled as follows:

where ΔuGdenotes theactivepowercommand ofthe equivalent governor; ΔPvan dΔPmindicate the power adjustmentsofthe valveand main chamber, respectively;TGrepresents the timecoefficientoftheequivalentgovernor, defined as the commandresponsetimeofthegovernorresponding to the frequencydeviation[26]; TCH and TRHrefer tothe time coefficients of themain chamber andreheater,which represent thepower output response times of the main chamber and reheater responding to their input power [26]; FHP denotes the mechanical torque of the high-pressure turbine.
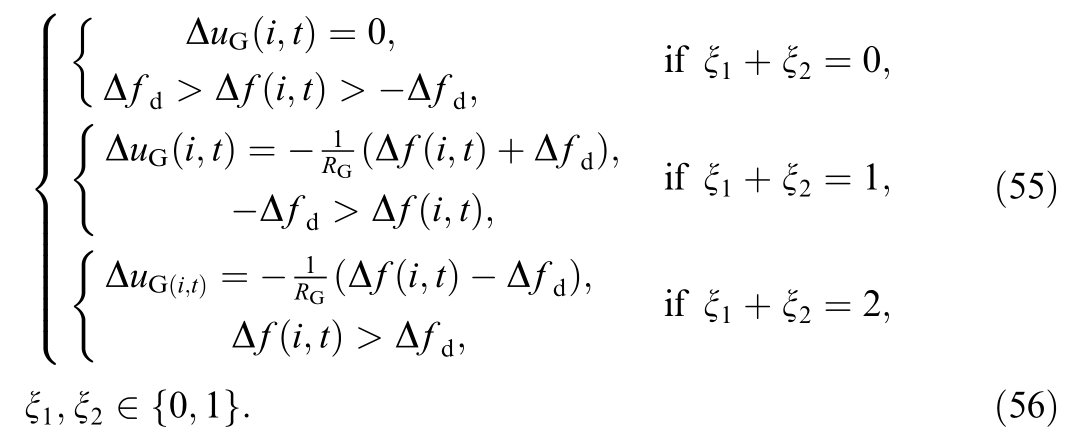
The control dead-band and amplitude limiting of the equivalent turbine-governor affect the frequency of the station POC.ΔuG in (8)-(10) is expressed as follows:

whereΔfd and
denote the dead-band and amplitude limiting coefficients, respectively;RG indicates the frequency droop coefficient of the equivalent turbine governor.
Based on Sections 2.1 and 2.2, the station frequency regulation model considering the grid frequency coupling can be represented in the form of the transfer function,as shown in Fig.2.
1.3 Model discretization
The station frequency control model must be tractable and linearized to facilitate quantitative analyses.However,(1)-(11) include several computationally complex and nonlinear processes: (i) the first-order differentiation of the wind, PV, and storage dynamics, which are presented in(3)-(5), (ii) the integral in the regulation command generation, which is expressed in (1), and (iii) the non-linear operations such as the round down,dead-band,and amplitude limiting operations.Thus, (1)-(11) must be transformed into a time-domain algebraic form through finite differentiation.
Equations (1)-(6) can be reformulated as (12)-(21),where (12)-(14), (15)-(17), (18)-(20), and (21) represent the dynamics of the wind, PV, storage, and POC,respectively:


Fig.2.Station frequency control model considering online frequency coupling in a transfer function-based form.

Eqs.(7)-(11) are expressed as follows:

The initial conditions for the above varia bles are as follows:

2 Evaluation index for station online frequency regulation
In existing grid codes that examine the frequency regulation performance of renewable generation stations, several dynamic performance indicators are specified under frequency -step disturbances—for instance, response lag time, response rise time, and steady-state power deviation[12].However, these indicators are not applicable to fieldstation regulation scenarios, where field disturbances are not frequency-step changes and the resulting frequency dynamics are significantly complex.
To address this limitation, Section 3.1 introduces an equivalent benchmark governor to evaluate the online regulation performance of the station, along with station modeling with POC coupling.The parameters of the benchmark governor are fitted based on the static and dynamic performance indicators in current grid codes.In Section 3.2, the regulation contribution of the benchmark governor following grid field disturbances is quantified and used as the evaluation index for assessing the online regulation of wind-PV-storage stations.
2.1 Station benchmark governor
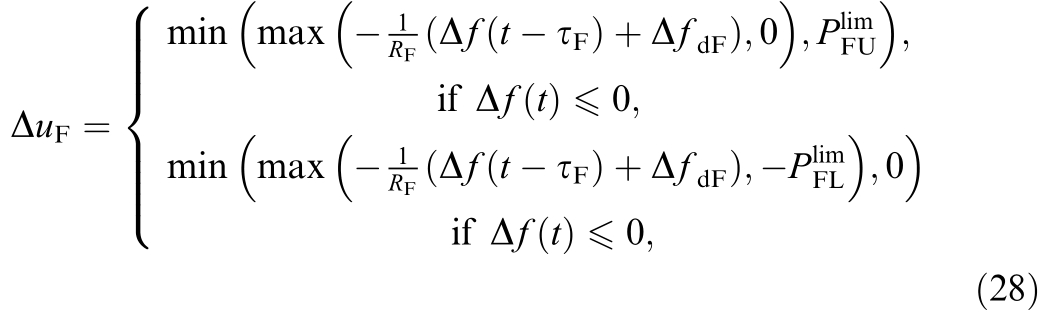
Based on the current design of frequency regulation, the droop, dead-band, command limiting, and response lag time characteristics must be reflected in the benchmark governor.Equations(1) and(11)represent these characteristics.Based on (1), (11), and the current grid codes, the command, uF, of the benchmark governor is established as follows:

whereτFdenotes the upper limit of the response lag time specified in the grid codes, that is, the time period wher e the active power ramps to 10 % after a frequency set step,as reported in [12]; ΔfF indicates the dead-band of the benchmark governor; RdF represents the droop coefficient of the benchmark governor; an d
an d
refer to the lower and upper adjustment limits.The values of these parameters must be provided based on the current grid codes.
For the dynamics in regulation, the current grid codes explicitly specify the requirements of the wind farms, PV farms, and storage systems, respectively, as described in(3)-(5).The distinguished power regulation limits for different farms are also specified.Thus, the active power outputs,ΔPWF t 1 , ΔPPF t 1 , and ΔPSF t 1 , for the wind, PV, and storage elements in the benchmark governor are modeled as follows:


where KWF, KPF, and KBF denote the capacity proportion coefficients for the wind, PV, and storage, respectively;
indicates the limits of the benchmark storag e;TWF,TPF, and TSF represent the response time coefficients for the wind, PV, and storage elements, which correspond to the time periods in [12] when active power ramps up to 90 % after a frequency step.The values of the time coeffi-cients must be fitted according to the response time specified in the grid codes.The active power output of the benchmark governor is expressed as follows:
Fig.3 depicts the model of the benchmark governor based on (28)-(32).
2.2 Online evaluation indexes of benchmark governor
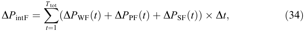
Based on the definition of power syst em frequency stability [26], the post-disturbance minimum frequency (or the maximum frequency for the power increase disturbance) must be selected as an evaluation index for the frequency regulation performance of the benchmark governor.The contribution of the station frequency regulation to the system frequency control is minimal.Therefore, using only the maximum frequency as an evaluation index may not entirely reflect the effectiveness of the renewable generation station involved in frequency control.A power integral-based index was also introduced to evaluate frequency regulation during the entire primary frequency control process.
1) Minimum Frequency Index: The minimum frequency with the renewable generation station participating in the post-disturbance frequency dynamics can be solved using(22)-(25) and (28)-(32).From the perspective of expected contingency screening, the definition of this index can be given as follows:
where ft represents the system frequency after disturbance at the time t,wheret0 1Ttot andTtot denotes the time window for frequency dynamics modeling; fmax andfmin denote the maximum and minimum frequency indexes, respectively.

Fig.3.Benchmark governor based on current grid codes.
2) Power Integral-Based Index: Considering the frequency decreasing situation as an example, the expression for this ind ex,ΔPintf,during station frequency regulation is expressed as follows:
whereΔtdenotes the time step in dynamics modeling.Because the wind-PV-storage station operates as a single entity, one index evaluating the power at the POC is suffi-cient for the station operator.
3 Mathematical model for station frequency reserve optimization
The mathematical model for optimizing the station frequency reserve is established based on the station frequency regulation model presented in Section 2 and the evaluation indexes presented in Section 3.The model comprises an objective function and a set of constraints.The non-linear terms are appropriately linearized to ensure solvability using MILP.
3.1 Objective function
Although current grid codes obligate stations to participate in frequency control, they also provide a price compensatory mechanism.Furthermore, the objective function in this study only considers the costs associated with the station’s participation in primary frequency control.Four types of costs are included, each represented by its respective cost coefficient, c 1 c4: (i) reduction through active power reservation, i.e., wind and solar curtailment, which causes the wastage of the wind and PV capacity; (ii) operational costs of storage system by adjusting the operating point at each dispatch period; (iii) lifespan degradation costs due to the charging and discharging of the storage system; and (iv) penalty coefficient for the deviation between the station dispatch command and the actual power output,which involves purchasing the same amount of power from a real-time electrical market.The objective function for optimizing the frequency regulation reserve can be expressed as:

where i denotes the index of dispatch periods in optimization and Nper indicates the total number of dispatch periods;c1Wandc1Prepresents the station on-grid electricity prices for wind and PV generation, respectively;c2refers to the cost coefficient of the storage power adjustments;c3denotes the degradation cost coefficient of the storage,and L denotes the lifespan cycles of the storage; c4 indicates the penalty coefficient for the dispatch tracking deviation and is determined by the real-time electricity purchasing cost;SUW and SUP represent the power reserves of the wind and PV farms, respectively;Pcmd denotes the station dispatch command.
3.2 Constraints
1) Operation Constraints for Wind and PV Farms: These include constraints on the active power output, P W and P P for wind and PV, respectively, downward/upward frequency regulation reserves, SDW /SUW an d SD P/SUP, and active power adjustments,ΔPW an dΔPP, through frequency regulation as follows:

where PW min and PW max denote the minimum and maximum limits of the active power outputs of the wind farm;andPPmin and PP max indicate the output limits for PV farm.The maximum limits, PW max and PP max, are timevarying variables that fluctuate along with the fluctuation of wind and solar resources.
2) Operation Constraints for Storage System: The constraints on the active power output, PS, storage state of charge (SOC), downward and upward frequency regulation reserve s,SDS andS US, and power adjustmen t,ΔPS,are included as follows:

where PSmin and PSmax denote the minimum and maximum limits of the power outputs of the storage system; SOC min and SOC max indicate the minimum and maximum bounds of SOC; δrepresents the self-discharge coefficient of the storage;γcandγddenote the charging and discharging efficiency.
3) Frequency Regulation Constraints Based on Evaluation Indexes: The constraints on the post-disturbance minimum frequency and station integral power are included.Based on the calculations of indexes,f min, fmax, and ΔPintF, in (33) and (34), the constraints are given as follows:

where
and
denote the limitations of the minimum and maximum frequency, respectively.
4) Station Frequency Regulation is given in (12)-(27).
5) Benchmark Governor is given in (28)-(32).
3.3 Linearization of non-linear terms
The aforementioned constraints contain non-linear terms, which are unsolvable for commercial MILP solvers.Two types of nonlinearities are included, i.e., the combination of the min and max operators in (26) and (28)-(31),along with the round down operator in(13),(16),and(19).
For the min and max operators, the conventional linearization method introduces two sets of Boolean variables to linearize the min and max operators separately.However, the Boolean variables significantly increase the computational burden when solving the MILP problem.In this study, we only introduced one set of Boolean variables to linearize the inner layer of the m inmaxoperator.The outer layer operators were eliminated using the equivalent form of convex functions as follows:

Considering the power command of the equivalent governor as an example, (26), without considering the min max operator, is given as follows:

For the rounding down operation, auxiliary variables can be introduced to equivalently represent the nonlinear operation.Considering the generation process of wind frequency regulation command as an example, (12) and (13)can be expressed as follows:
Consequently, the model for station frequency reserve optimization presented in Section 4.2 is equivalently transformed into the MILP problem, which can be directly solved using commercial software.
4 Case study
The case study is performed based on the field conditions of the JH4# wind-PV-storage station connected to the China MX Power Grid.This station comprises a wind farm, PV farm,and an electrochemical energy storage unit with capacities of 425 MW, 75 MW, and 140 MW 2 h,respectively.
4.1 Description of the field test system
The wind and PV resources for the JH4# station were obtained from the field measurement data on June 18,2022.The station dispatch commands transmitted from the MX Power Grid dispatcher on this day were also collected.The time resolution for frequency regulation reserve optimization is set to 15 min.Fig.4 depicts this data in 15 dispatch periods.The values of the cost coeffi-cients,c1 c4,are selected as follows.F orc1W a ndc2P,the reserve costs of the wind and PV generation systems are 290 $/MWh and 350 $/MWh, respectively.F orc2 andc3,the operational and co nstructional costs of storage are 393 $/MWh and 1500 $/kW, respectively.The penalty coefficient,c4,is 479 $/MWh.The frequency regulation lifespan of the storage system is assumed to be 6000 cycles.
The regulation dynamics of the JH 4# station are established based on its field parameters.Field tests are conducted on the artificial frequency disturbance.The parameters are fitted based on the measurement data,and a droop controller is used for station-level control.The equivalent parameters of the station POC frequency dynamics are based on the field parameters of the MX Power Grid corresponding to the dispatch report.The parameters of the benchmark governor are fitted based on current grid codes in China[12], as presented in Table 1.The time window, Ttot, for evaluating the station regulation dynamics is set to 20 s.The time step, Δ t, in dynamics modeling is set to 0.1 s, which is lower than the fastest time coefficient in the models.A step disturbance is set, not exceeding 4 % of the total load of the MX Power Grid.

Fig.4.Available maximum outputs and dispatch commands of JH4#station.
All the simulations are performed on a PC with Intel(R)Xeon(R) E2176G CPU @ 3.70 GHz and 64 GB memory.The reserve optimization models are implemented on MATLAB and solved using Gurobi 9.5.The postdisturbance frequency dynamics are simulated in MATLAB/Simulink.
4.2 Method validation
The effectiveness of the proposed method is validated in this section.The operation data with 15 dispatch periods are chosen for reserve optimization.Two methods are set up for comparison.The capacity configuration remains unchanged, and the primary focus is the setting of frequency regulation reserve as explained below:
Grid code-based method (GC-based method): The station reserve for participating in the frequency regulation is set based on the grid codes, with the wind, PV,and storage components sharing the reserve corresponding to their nominal capacities.
Storage only-based method (SO-based method): This method is similar to the proposed method, where the POC frequency coupling and benchmark governor are consider ed.However, only the storage system participates in the frequency regulation.
Fig.5 depicts the frequency reserves for GC-based, SObased, and proposed methods in each dis patch period.Fig.6 depicts the post-disturbance minimum frequencies for the three methods under the same system disturbance.It can be observed that as the optimization procedure constrains the frequency dynamics, the minimum frequencies for three methods are all similar and lie within the grid code requirements.The station integral powers for the three m ethods are also similar and are equal to 79.83 kWh.However,Fig.5 depicts the benefits of the proposed method regarding capacity reserving.For the GC-based method, a large amount of wind and PV power is reserved to provide frequency regulation.The reserve in each dispatch period is identical as it is assigned based on the rated capacity.For the SO-based method, only the reserve from storage is provided as the set and remains unchanged in all the periods.The proposed method reduces the reserve capacity without affecting the frequency regulation performance of the station.For the SO-based method, thereserve of the storage decreases to 13.67 MW in the 9th dispatch period owing to the flexibility of the upward wind and PV reserve.
Table 1 Parameters settings for frequency regulation.


Fig.5.Frequency regulation reserve of the three methods.

Fig.6.Post-disturbance minimum frequency of the three methods.
Fig.7 depicts the post-disturbance frequency dynamics of the proposed method to further analyze the cause.At the disturbance instant, the system frequency drops the fastest, and a large amount of power support from the station is required.At the initial period after the disturbance,the regulation commands f or the wind, PV, and storage are generated, as shown in Fig.7.The wind power fails to follow the command owing to the slow ramping of the wind turbine’s mechanical dynamics.The PV system exhibits a similar characteristic, despite its rapid response time.Only the storage rapidly tracks the command at the disturbance instance.Owing to the station reserve allocation based on the dynamics of the wind, PV, and storage units, the proposed method fully utilizes the fast regulation capability of the storage system.This further reduces the reserve of the wind and PV systems.After reaching the system minimum frequency, where the station presents the maximum output, the role of storage is no longer significant.The wind system, with a slow response and large capacity, provides the main support.When the system frequency dynamic e nds, the wind and PV systems provide almost all power support for the station, and the storage approaches its initial operating point.

Fig.7.(a) Station power output and commands of (b)wind,(c)PV,and(d) storage.
The proposed method only ensures the frequency regulation contribution of the whole station and analyzes the complementary dynamics between the wind, PV, and storage systems.The capacity is no longer the main factor in reserve optimization.This presents an economic perspective of the station frequency regulation.
Fig.8 depicts the station incomes from the electricity sales at each dispatch period of the three methods.It can be observed that the proposed method can reduce the frequency regulation reserve cost and increase the electricity sale income when compared with the GC-based method.With the wind and PV systems participating in the frequency regulation, the income in the 4th,6th,and 9th dispatch periods increased by 1.02 %, 3.35 %, and 4.10 %,respectively, when compared with the SO-based method.

Fig.8.Income from electricity sale during the dispatch period.
Table 2 lists the overall net incomes at all periods.The costs from the wind and solar curtailment, storage degradation, and dispatch tracking deviation penalty are also presented in Table 2.For the GC-based method, higher curtailment cost is incurred as the opportunity cost, and the station electricity sales decrease due to the fixed wind and PV reservation.The capacities of some storage units in the station are released, which may reduce the electricity purchased from the power grid when the station’s maximum output is lower than the dispatch instructions.However, the net income is also lower owing to the limited instances when the storage reaches its regulation amplitude limit.For the SO-based method, as almost the entire capacity of the storage replaces that of wind and PV, the station falls short of the increase in dispatch instructions.This presents higher electricity purchases and lower net income.For the proposed method, by considering the differentiated dynamics of wind,PV,and storage,the advantages of fast regulation of storage and the low costs of wind and PV can be developed.The net incomes increased by 24.77 % and 0.25 %, respectively when compared with the GC-based and SO-based methods.Although the storage capacity configuration is identical for the three methods, a well-designed reserve scheduling plan can present higher operational efficiency while ensuring frequency stability.
4.3 Impact of communication latency and discrete command
This section demonstrates the necessity of considering the communication delay and control demand discretization on the time scale.Two comparative methods are evaluated: the first neglects both communication delay and command discretization, while the second only considers the communication delay.
Fig.9 depicts the station POC active powers of the proposed method and two comparative methods,and Table 3 presents the quantitative indicators.The station power output of the proposed method cannot increase as rapidly as that of the tw o comparative methods owing to communication delay and control cycle, as shown in Fig.9.This presents a lower maximum active power output and larger regulation time when the maximum power output is reached.The power integral-based index is also reduced by 3.56 % and 2.35 %, respectively, when compared with the two comparative methods.Further comparing the two comparative methods, the power integral index is not only determined by the maximum output but also by the power regulation time.
Considering the station power output in Fig.9 in the frequency dynamics analysis, under the same disturbance,the post-disturbance minimum frequencies of the two comparative methods increased by 0.027 % and 0.018 %,respectively, when compared with the proposed method.Neglecting the nonlinear effects introduced by communica-tion latency and discrete command presents an overly optimistic expectation of system frequency dynamics.The minimum frequency will exceed the limitation and cause the power system to blackout.Thus, these impacts cannot be ignored.
Table 2 Quantitative costs and net income of all dispatch periods.


Fig.9.Station power output considering communic ation latency and discrete command settings.
4.4 Effectiveness of benchmark governor and evaluation index
To demonstrate the effectiveness of the benchmark governor and the evaluation index, four comparative methods are introduced.The first method does not adopt the benchmark governor and the station dynamics are adjusted manually as close as possible to the benchmark governor.In the second, third, and fourth methods, most of the settings are identical to those in the proposed method.However, the second does not consider constraints on station integral power.The third and fourth methods consider the power integral-based constraints with window lengths of 10 and 2 s, respectively.
The post-disturbance minimum frequency and station cost at one dispat ch period for the above methods are shown in Fig.10.Fig.10 can be analyzed from both the horizontal and vertical perspect ives.From the verticalaxis perspective of Fig.10, comparing the first and second methods, the minimum frequencies are similar.However,there is a significant optimization margin in the station regulation method regarding the station income.As can be seen, with the consideration of the benchmark governor, the cost of the second method is reduced by 89.14%compared to that of the first method,thus proving the effectiveness of optimizing the benchmark governor.
The results of the third and fourth methods, with different window lengths, show no significant improvements in maximum frequency.This is primarily because the segmented constraints on the power integral index determine the distribution of active power before and after the minimum frequency point.As a result, the frequency regulation of the station at the initial time after the disturbance is determined by the minimum frequency,causing the preliminary regulation to induce a system frequency rebound.After the system frequency crosses its minimum point, the station output is still constrained by the power integral index and exceeds the power output.In addition, the results of the first and fourth methods indicate that unlimited refinement of the power integral index is equivalent to fitting the output of the benchmark governor.

Fig.10.Minimum frequency and station cost considering benchmark governor and evaluation index settings.
Table 3 Quantitative indicators for latency and discrete command analysis.

From the horizontal-axis perspective of Fig.10, compared to the first method, the minimum frequency of the proposed method increases by 0.00127 Hz while the station cost remains the same.This demonstrates that the power integral index imposes stricter constraints on station regulation output compared to the frequency steady-state value index.These constraints offer the station greater flexibility in frequency regulation, enabling deeper utilization of its frequency regulation potential and more accurate representation of system frequency regulation demands.
In summary, the post-disturbance minimum frequency index can effectively restrict the frequency regulation output before reaching the minimum frequency of the system.The power integral-based index maximizes the station frequency regulation response.Compared with traditional static requirements in grid codes, the adopted indexes can effectively characterize the system frequency and station regulation dynamics, thereby providing more precise constraints and ensuring station regulation performance.
5 Discussion
The above analysis is based on a standard wind-PVstorage station.For scenarios including multiple stations,the frequency regula tions of multiple stations should be considered.First, a higher-order version of Fig.2 should be modeled to accommodate multiple stations.Note that under the COI framework, the part of the model describing the frequency coupling remains the same.The model discretization process is performed in the same manner.Each station should have a be nchmark generator to quantify its contribution separately, and the online evaluation indexes should also be multiplied.Based on this structure,the optimization model can be established.
In another case, where one station includes a number of generation farms, the proposed method is easily applicable.Adjustments can be made by simply removing or adding control logic in Fig.2.
6 Conclusion
This study proposes a method for optimizing the frequency regulation reserve of wind-PV-storage stations,considering the online regulation contribution of the station.This approach aggregates the station regulation dynamics while incorporating key characteristics such as station communication latency and temporal discretization in station control command.By modeling the station POC frequency dynami cs,the station regulation contribution in system post-disturbance frequency dynamics was simulated.Thereafter, the benchmark governor fitting is proposed to characterize the continuous regulation effect of station regulation.The power integrated-based index and minimum frequency were established to characterize the effect of online regulation.Finally, the simulation was performed based on the field data of the JH4#station in China MX power grid.The main conclusions are as follows:
1) The current grid codes only require the frequency regulation requirements for renewable power stations at the frequency-step disturbance scenarios,which is not in line with the actual frequency dynamics.It is necessary to consider the station online frequency regulation contribution under field disturbance.
2)The impact of communication delay and temporal discreteness of regulation commands is cannot be neglected when modeling the frequency regulation dynamics of the time domain.The equivalent benchmark governor and power integrated-based index can evaluate the online regulation contribution of the station.
3)The fast ramping of storage is crucial in station frequency regulation.When the integrated power within the complete time window of frequency regulation is used as the evaluat ion index,the wind and PV systems can also provide effective frequency regulation services, even when the station power output is limited by the dispatcher.
Future work will focus on analyzing the impact of uncertainty in wind and solar resources on frequency regulation performance and reserve optimization under an uncertain conditions.
CRediT authorship contribution statement
Changping Sun: Writing - original draft, Validation,Project administration, Investigation, Funding acquisition, Conceptualization.Xiaodi Zhang: Writing - original draft, Visualization, Validation, Software.Wei Zhang:Project administration, Funding acquisition.Jiahao Liu:Writing - original draft, Supervision.Zubing Zou:Resources, Project administration, Investigation, Funding acquisition, Conceptualization.Leying Li: Funding acquisition.Cheng Wang: Writing - review & editing, Supervision, Formal analysis, Conceptualization.
Declaration of competing interest
Changping Sun, Wei Zhang, Leying Li, and Zubing Zou are currently employed by China Three Gorges Group Co., LTD.The research project is funded by China Three Gorges Group Co., LTD.Xiaodi Zhang is currently employed by State Grid Chongqing Electric Power Company.
Acknowledgments
This work was supported by the Scientific Research Project of China Three Gorges Group Co.LTD(Contract Number: 202103368).
References
[1]H.Hamada, Y.Kusayanagi, M.Tatematsu, et al.,Challenges for a reduced inertia power system due to the large-scale integration of renewable energy, Global Energy Interconnect.5 (3) (2022) 266-273.
[2]Q.L.Huang, Insights for global energy interconnection from China renewable energy development, Global Energy Interconnect.3 (1)(2020) 1-11.
[3]Z.F.Zhang, F.F.da Silva, Y.F.Guo, et al., Double-layer stochastic model predictive voltage control in active distribution networks with high penetration of renewables, Appl.Energy 302(2021) 117530.
[4]X.Q.He, H.Geng, G.Mu, Modeling of wind turbine generators for power system stability studies: a review, Renew.Sustain.Energy Rev.143 (2021) 110865.
[5]M.Dreidy, H.Mokhlis, S.Mekhilef, Inertia response and frequency control techniques for renewable energy sources: a review, Renew.Sustain.Energy Rev.69 (2017) 144-155.
[6]L.N.Su, X.H.Qin, S.Zhang, et al., Fast frequency response of inverter-based resources and its impact on system frequency characteristics, Global Energy Interconnect.3 (5) (2020) 475-485.
[7]National Grid Electricity System Operator, Technical Report on theeventsof9August2019,2019,https://www.nationalgrideso.com/document/152346/download.
[8]Australian Energy Market Operator, Black system South Australia 28 September 2016, 2016, https://www.aemo.com.au/-/media/Files/Electricity/NEM/Market_Notices_and_Events/Power_System_Incident_Reports/2017/Integrated-Final-Report-SABlack-System-28-September-2016.pdf.
[9]L.X.Meng, J.Zafar, S.K.Khadem, et al.,Fast frequency response from energy storage systems: a review of grid standards, projects and technical issues, IEEE Trans.Smart Grid 11 (2) (2020) 1566-1581.
[10]National Renewable Energy Lab, Inertia and the power grid: a guide without the spin, 2020, https://www.nrel.gov/docs/fy20osti/73856.pdf.
[11]European Network of Transmission System Operators for Electricity, Future system inertia 2, 2017, https://www.statnett.no/globalassets/for-aktorer-i-kraftsystemet/utvikling-avkraftsystemet/nordisk-frekvensstabilitet/future-system-inertiaphase-2.pdf.
[12]State Administration for Market Regulation, China National Standardization Administration, GB/T 40595-2021 Guide for technology and test on primary frequency control of gridconnected power resource, 2021.
[13]China National Development and Reform Commission, National Energy Administration, Guiding opinions on accelerating the development of new energy storage, 2021.
[14]S.Q.Zhang, Q.C.Yu, H.Y.Liu, et al., A distributed AGC power sharing strategy considering BESS participation factors, Electr.Pow.Syst.Res.217 (2023) 109117.
[15]L.Miao, J.Y.Wen, H.L.Xie, et al., Coordinated control strategy of wind turbine generator and energy storage equipment for frequency support, IEEE Trans.Ind.Appl.51 (4) (2015) 2732-2742.
[16]J.Boyle, T.Littler, S.M.Muyeen, et al., An alternative frequencydroop scheme for wind turbines that provide primary frequency regulation via rotor speed control, Int.J.Electr.Power Energy Syst.133 (2021) 107219.
[17]M.Fakhari Moghaddam Arani, Y.A.I.Mohamed,Dynamic droop control for wind turbines participating in primary frequency regulation in microgrids, IEEE Trans.Smart Grid 9 (6) (2018)5742-5751.
[18]J.Khazaei, Z.H.Tu, W.X.Liu, Small-signal modeling and analysis of virtual inertia-based PV systems, IEEE Trans.Energy Convers.35 (2) (2020) 1129-1138.
[19]Z.Z.Wang, L.J.Shi, F.Wu, et al., Coordinated droop and virtual inertia control of wind farm for frequency regulation, in:Proceedings of 2020 IEEE Power & Energy Society General Meeting (PESGM), Canada, Montreal, IEEE, 2020, pp.1-5.
[20]Z.H.Zhang, P.Kou, Y.H.Zhang, et al., Coordinated predictive control of offshore DC collection grid and wind turbines for frequency response: a scheme without secondary frequency drop,IEEE Trans.Sustainable Energy 14 (3) (2023) 1488-1503.
[21]Q.T.Hong, M.Karimi, M.Y.Sun, et al.,Design and validation of a wide area monitoring and control system for fast frequency response, IEEE Trans.Smart Grid 11 (4) (2020) 3394-3404.
[22]E.Bullich-Massague´, M.Aragu¨e´s-Pen˜alba, A.Sumper, et al.,Active power control in a hybrid PV-storage power plant for frequency support, Sol.Energy 144 (2017) 49-62.
[23]D.Cirio, F.Conte, B.Gabriele, et al., Fast frequency regulation from a wind farm-BESS unit by model predictive control: method and hardware-in-the-loop validation, IEEE Trans.Sustainable Energy 14 (4) (2023) 2049-2061.
[24]S.Q.Zhang, Y.Mishra, M.Shahidehpour, Fuzzy-logic based frequency controller for wind farms augmente d with energy storage systems, IEEE Trans.Power Syst.31 (2) (2016) 1595-1603.
[25]X.M.Chen, Y.Jiang, V.Terzija, et al., Review on measurementbased frequency dynamics monitoring and analyzing in renewable energy dominated power systems, Int.J.Electr.Power Energy Syst.155 (2024) 109520.
[26]P.M.Anderson, A.A.Fouad, Power System Control and Stability,John Wiley & Sons, 2003.
[27]Q.X.Shi, F.X.Li, H.T.Cui, Analytical method to aggregate multimachine SFR model with applications in power system dynamic studies, IEEE Trans.Power Syst.33 (6) (2018) 6355-6367.
[28]M.Javadi, Y.Z.Gong, C.Y.Chung, Frequency stability constrained microgrid scheduling considering seamless islanding,IEEE Trans.Power Syst.37 (1) (2022) 306-316.
[29]Y.F.Wen, C.Y.Chung, X.Liu, et al., Microgrid dispatch with frequency-aware islanding constraints, IEEE Trans.Power Syst.34(3) (2019) 2465-2468.
[30]State Administration for Market Regulation, China National Standardization Administration, GB/T 40594-2021 Technical guide for power grid and source coordination, 2021.
Received 14 May 2024;revised 2 Septemb er 2024; accepted 29 October 2024
* Corresponding author.
E-mailaddresses:sun_changping@ctg.com.cn(C.Sun),zxd942898386@163.com (X.Zhang),zhang_wei47@ctg.com.cn (W.Zha ng),jhliu@ncepu.edu.cn (J.Liu), zou_zubing@ctg.com.cn (Z.Zou), lileying1012@yeah.net (L.Li), chengwang@ncepu.edu.cn (C.Wang).
https://doi.org/10.1016/j.gloei.2024.10.016
2096-5117/© 2025 Global Energy Interconnection Group Co.Ltd.Publishing services by Elsevier B.V.on behalf of KeAi Communications Co.Ltd.
This is an open access article under the CC BY-NC-ND license (http://creativecommons.org/licenses/by-nc-nd/4.0/).

Changping Sun received the Bachelor degree from Wuhan University of Hydraulic and Electrical Engineering in 1992 and the Master degree from Tianjin University in 1999.He is currently serving as the President of the Science and Technology Research Institute, China Three Gorges Corporation.His research focuses on energy storage configuration, microgrid operation, and renewable energy planning.

Xiaodi Zhang received the B.E.degree in Electrical Engineering from Zhengzhou University in 2020 and the M.Sc.degree in Electrical Engineering from North China Electric Power University in 2023.He is currently an Engineer at the Chongqing Urban Power Supply Branch,State Grid Chongqing Electric Power Company.His research interests include primary frequency control of renewable-integrated power systems.

Wei Zhang received the B.E.degree in Water Conservancy and Hydropower Engineering in 2015 and the Ph.D.degree in Hydrology and Water Resources Engineering in 2020, both from Wuhan University, China.She is currently a Specialist at the Science and Technology Research Institute, China Three Gorges Corporation.Her research interests include reservoir operation and style="vertical-align: middle; text-align: center;">
Jiahao Liu received Ph.D.degree in Electrical Engineering at North China Electric Power University in Beijing, China.He was a visiting Ph.D.student at the University of Tennessee,Knoxville, USA.His research focuses on analyzing and controlling frequency stability in power systems with inverter-based resources.

Zubing Zou received the Bachelor degree from Huazhong University of Science and Technology in 1998 and the Master degree from South China University of Technology in 2000.He is currently the Deputy Chief Manager at the Inner Mongolia Branch of China Three Gorges Group Co.,LTD.His research interests include hydropower project management and frequency support strategies in renewable-integrated power systems.

Leying Li received the Master degree from Xi’an Shiyou University in 2020.She is currently an Engineer at the Research Institute of Science and Technology, China Three Gorges Group Co., LTD, Beijing, China.Her research focuses on renewable energy integration and grid operation strategies.

Cheng Wang received the B.Sc.and Ph.D.degrees in electrical engineering from Tsinghua University, Beijing, China, in 2012 and 2017,respectively.He is currently an Associate Professor with North China Electric Power University, Beijing.His research interests include operation and control of renewable energy power systems.He is an Associate Editor for IEEE TRANSACTIONS ON POWER SYSTEMS and Protection and Control of Modern Power Systems.He has been listed as the 2023 World’s Top 2% Scientists released by Stanford University.He was the recipient of the Best Paper Award of IEEE Transactions onPower Systems during 2017-2019.